Sóskuti Emőke, Szilvásy Nóra, Temesszentandrási-Ambrus Csilla, Urbán Zoltán, Csíkvári Olivér, Szabó Zoltán, Kecskeméti Gábor, Pusztai Éva, Gáborik Zsuzsanna
Charles River Laboratories Hungary, H-1117 Budapest, Hungary.
Doctoral School of Semmelweis University, Molecular Medicine Division, H-1085 Budapest, Hungary.
Pharmaceutics. 2024 May 29;16(6):736. doi: 10.3390/pharmaceutics16060736.
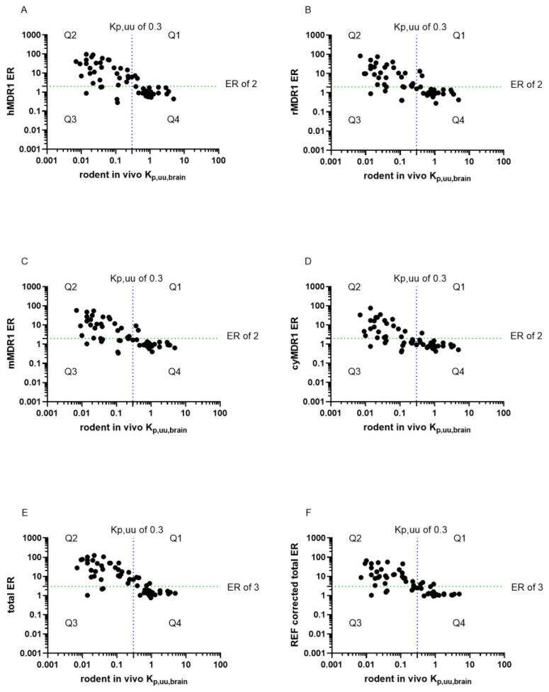
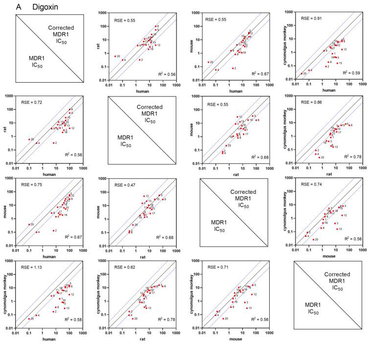
Implementing the 3R initiative to reduce animal experiments in brain penetration prediction for CNS-targeting drugs requires more predictive in vitro and in silico models. However, animal studies are still indispensable to obtaining brain concentration and determining the prediction performance of in vitro models. To reveal species differences and provide reliable data for IVIVE, in vitro models are required. Systems overexpressing MDR1 and BCRP are widely used to predict BBB penetration, highlighting the impact of the in vitro system on predictive performance. In this study, endogenous Abcb1 knock-out MDCKII cells overexpressing MDR1 of human, mouse, rat or cynomolgus monkey origin were used. Good correlations between ERs of 83 drugs determined in each cell line suggest limited species specificities. All cell lines differentiated CNS-penetrating compounds based on ERs with high efficiency and sensitivity. The correlation between in vivo and predicted K was the highest using total ER of human MDR1 and BCRP and optimized scaling factors. MDR1 interactors were tested on all MDR1 orthologs using digoxin and quinidine as substrates. We found several examples of inhibition dependent on either substrate or transporter abundance. In summary, this assay system has the potential for early-stage brain penetration screening. IC comparison between orthologs is complex; correlation with transporter abundance data is not necessarily proportional and requires the understanding of modes of transporter inhibition.
实施3R倡议以减少中枢神经系统靶向药物脑渗透预测中的动物实验,需要更具预测性的体外和计算机模拟模型。然而,动物研究对于获取脑内浓度和确定体外模型的预测性能仍然不可或缺。为了揭示物种差异并为体外药物代谢动力学(IVIVE)提供可靠数据,需要体外模型。过表达多药耐药蛋白1(MDR1)和乳腺癌耐药蛋白(BCRP)的系统被广泛用于预测血脑屏障(BBB)的渗透性,突出了体外系统对预测性能的影响。在本研究中,使用了内源性Abcb1基因敲除的MDCKII细胞,这些细胞过表达人、小鼠、大鼠或食蟹猴来源的MDR1。在每个细胞系中测定的83种药物的提取率(ERs)之间具有良好的相关性,表明物种特异性有限。所有细胞系都能基于ERs高效且灵敏地区分中枢神经系统穿透性化合物。使用人MDR1和BCRP的总ER以及优化的比例因子时,体内和预测的K之间的相关性最高。使用地高辛和奎尼丁作为底物,在所有MDR1直系同源物上测试了MDR1相互作用剂。我们发现了几个依赖于底物或转运蛋白丰度的抑制实例。总之,该检测系统具有早期脑渗透筛选的潜力。直系同源物之间的抑制常数(IC)比较很复杂;与转运蛋白丰度数据的相关性不一定成比例,需要了解转运蛋白抑制模式。