Suppr超能文献

载脂蛋白(a)、氧化型磷脂与冠状动脉外血管疾病的相关性。

Associations between lipoprotein(a), oxidized phospholipids, and extracoronary vascular disease.

机构信息

Division of Vascular and Endovascular Surgery, Massachusetts General Hospital, Boston, MA, USA.

Division of Cardiology, Massachusetts General Hospital, Harvard Medical School, Boston, MA, USA.

出版信息

J Lipid Res. 2024 Jul;65(7):100585. doi: 10.1016/j.jlr.2024.100585. Epub 2024 Jun 26.

Abstract

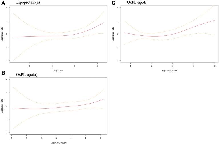
The roles of lipoprotein(a) [Lp(a)] and related oxidized phospholipids (OxPLs) in the development and progression of coronary disease is known, but their influence on extracoronary vascular disease is not well-established. We sought to evaluate associations between Lp(a), OxPL apolipoprotein B (OxPL-apoB), and apolipoprotein(a) (OxPL-apo(a)) with angiographic extracoronary vascular disease and incident major adverse limb events (MALEs). Four hundred forty-six participants who underwent coronary and/or peripheral angiography were followed up for a median of 3.7 years. Lp(a) and OxPLs were measured before angiography. Elevated Lp(a) was defined as ≥150 nmol/L. Elevated OxPL-apoB and OxPL-apo(a) were defined as greater than or equal to the 75th percentile (OxPL-apoB ≥8.2 nmol/L and OxPL-apo(a) ≥35.8 nmol/L, respectively). Elevated Lp(a) had a stronger association with the presence of extracoronary vascular disease compared to OxPLs and was minimally improved with the addition of OxPLs in multivariable models. Compared to participants with normal Lp(a) and OxPL concentrations, participants with elevated Lp(a) levels were twice as likely to experience a MALE (odds ratio: 2.14, 95% confidence interval: 1.03, 4.44), and the strength of the association as well as the C statistic of 0.82 was largely unchanged with the addition of OxPL-apoB and OxPL-apo(a). Elevated Lp(a) and OxPLs are risk factors for progression and complications of extracoronary vascular disease. However, the addition of OxPLs to Lp(a) does not provide additional information about risk of extracoronary vascular disease. Therefore, Lp(a) alone captures the risk profile of Lp(a), OxPL-apoB, and OxPL-apo(a) in the development and progression of atherosclerotic plaque in peripheral arteries.

摘要

脂蛋白(a)[Lp(a)]和相关氧化磷脂(OxPLs)在冠状动脉疾病的发展和进展中的作用是已知的,但它们对血管外疾病的影响尚未得到很好的确定。我们试图评估 Lp(a)、OxPL 载脂蛋白 B (OxPL-apoB)和载脂蛋白(a)(OxPL-apo(a))与血管外冠状动脉疾病和主要不良肢体事件(MALE)的发生之间的关联。446 名接受冠状动脉和/或外周血管造影的患者接受了中位 3.7 年的随访。在血管造影前测量了 Lp(a)和 OxPLs。升高的 Lp(a)定义为≥150 nmol/L。升高的 OxPL-apoB 和 OxPL-apo(a)定义为大于或等于第 75 百分位数(OxPL-apoB≥8.2 nmol/L 和 OxPL-apo(a)≥35.8 nmol/L,分别)。与 OxPLs 相比,升高的 Lp(a)与血管外疾病的存在具有更强的相关性,并且在多变量模型中添加 OxPLs 后仅略有改善。与正常 Lp(a)和 OxPL 浓度的参与者相比,Lp(a)水平升高的参与者发生 MALE 的可能性是前者的两倍(比值比:2.14,95%置信区间:1.03,4.44),并且随着 OxPL-apoB 和 OxPL-apo(a)的添加,关联的强度和 C 统计量 0.82 基本保持不变。升高的 Lp(a)和 OxPLs 是血管外疾病进展和并发症的危险因素。然而,将 OxPLs 添加到 Lp(a)中并不能提供关于血管外疾病风险的额外信息。因此,Lp(a)单独捕获了 Lp(a)、OxPL-apoB 和 OxPL-apo(a)在周围动脉粥样硬化斑块发展和进展中的风险特征。

https://cdn.ncbi.nlm.nih.gov/pmc/blobs/d7c5/11298641/e7b0ed37f9f2/ga1.jpg

文献AI研究员

20分钟写一篇综述,助力文献阅读效率提升50倍。

立即体验

用中文搜PubMed

大模型驱动的PubMed中文搜索引擎

马上搜索

文档翻译

学术文献翻译模型,支持多种主流文档格式。

立即体验