Suppr超能文献

数字协作学习中的生成性准备任务:建设性准备活动对深度理解的参与者和伙伴效应

Generative preparation tasks in digital collaborative learning: actor and partner effects of constructive preparation activities on deep comprehension.

作者信息

Mende Stephan, Proske Antje, Narciss Susanne

机构信息

Psychology of Learning and Instruction, Technische Universität Dresden, Dresden, Germany.

出版信息

Front Psychol. 2024 Jun 19;15:1335682. doi: 10.3389/fpsyg.2024.1335682. eCollection 2024.

Abstract

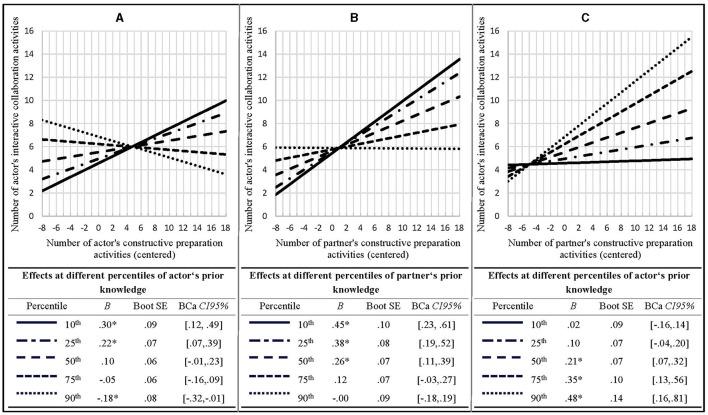
Deep learning from collaboration occurs if the learner enacts interactive activities in the sense of leveraging the knowledge externalized by co-learners as resource for own inferencing processes and if these interactive activities in turn promote the learner's deep comprehension outcomes. This experimental study investigates whether inducing dyad members to enact constructive preparation activities can promote deep learning from subsequent collaboration while examining prior knowledge as moderator. In a digital collaborative learning environment, 122 non-expert university students assigned to 61 dyads studied a text about the human circulatory system and then prepared individually for collaboration according to their experimental conditions: the preparation tasks varied across dyads with respect to their generativity, that is, the degree to which they required the learners to enact constructive activities (note-taking, compare-contrast, or explanation). After externalizing their answer to the task, learners in all conditions inspected their partner's externalization and then jointly discussed their text understanding via chat. Results showed that more rather than less generative tasks fostered constructive preparation but not interactive collaboration activities or deep comprehension outcomes. Moderated mediation analyses considering actor and partner effects indicated the indirect effects of constructive preparation activities on deep comprehension outcomes via interactive activities to depend on prior knowledge: when own prior knowledge was relatively low, self-performed but not partner-performed constructive preparation activities were beneficial. When own prior knowledge was relatively high, partner-performed constructive preparation activities were conducive while one's own were ineffective or even detrimental. Given these differential effects, suggestions are made for optimizing the instructional design around generative preparation tasks to streamline the effectiveness of constructive preparation activities for deep learning from digital collaboration.

摘要

如果学习者通过利用共同学习者外化的知识作为自身推理过程的资源来开展互动活动,并且这些互动活动反过来又能促进学习者的深度理解成果,那么就会发生基于协作的深度学习。本实验研究调查了引导二元组成员开展建设性准备活动是否能促进后续协作中的深度学习,同时将先验知识作为调节变量进行考察。在数字协作学习环境中,122名非专业大学生被分成61个二元组,学习一篇关于人体循环系统的文本,然后根据其实验条件各自为协作做准备:准备任务在二元组之间因生成性不同而有所差异,也就是说,它们要求学习者开展建设性活动(做笔记、比较对照或解释)的程度不同。在将自己对任务的答案外化之后,所有条件下的学习者都查看了伙伴的外化内容,然后通过聊天共同讨论他们对文本的理解。结果表明,生成性较高而非较低的任务促进了建设性准备,但对互动协作活动或深度理解成果没有促进作用。考虑到行动者和伙伴效应的调节中介分析表明,建设性准备活动通过互动活动对深度理解成果的间接影响取决于先验知识:当自己的先验知识相对较低时,自己开展而非伙伴开展的建设性准备活动是有益的。当自己的先验知识相对较高时,伙伴开展的建设性准备活动是有益的,而自己开展的则无效甚至有害。鉴于这些差异效应,针对围绕生成性准备任务优化教学设计提出了建议,以提高建设性准备活动对数字协作深度学习的有效性。

https://cdn.ncbi.nlm.nih.gov/pmc/blobs/c96e/11220279/25470666c8e3/fpsyg-15-1335682-g0001.jpg

文献AI研究员

20分钟写一篇综述,助力文献阅读效率提升50倍。

立即体验

用中文搜PubMed

大模型驱动的PubMed中文搜索引擎

马上搜索

文档翻译

学术文献翻译模型,支持多种主流文档格式。

立即体验