Suppr超能文献

酿酒酵母咖啡因耐受的实验进化改变了多药耐药性和雷帕霉素靶蛋白信号通路。

Experimental evolution of Saccharomyces cerevisiae for caffeine tolerance alters multidrug resistance and target of rapamycin signaling pathways.

机构信息

Department of Genome Sciences, University of Washington, Seattle, WA 98195, USA.

Troy High School, Troy, MI 48098, USA.

出版信息

G3 (Bethesda). 2024 Sep 4;14(9). doi: 10.1093/g3journal/jkae148.

Abstract

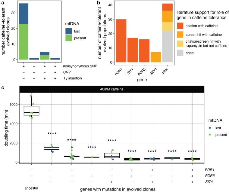
Caffeine is a natural compound that inhibits the major cellular signaling regulator target of rapamycin (TOR), leading to widespread effects including growth inhibition. Saccharomyces cerevisiae yeast can adapt to tolerate high concentrations of caffeine in coffee and cacao fermentations and in experimental systems. While many factors affecting caffeine tolerance and TOR signaling have been identified, further characterization of their interactions and regulation remain to be studied. We used experimental evolution of S. cerevisiae to study the genetic contributions to caffeine tolerance in yeast, through a collaboration between high school students evolving yeast populations coupled with further research exploration in university labs. We identified multiple evolved yeast populations with mutations in PDR1 and PDR5, which contribute to multidrug resistance, and showed that gain-of-function mutations in multidrug resistance family transcription factors Pdr1, Pdr3, and Yrr1 differentially contribute to caffeine tolerance. We also identified loss-of-function mutations in TOR effectors Sit4, Sky1, and Tip41 and showed that these mutations contribute to caffeine tolerance. These findings support the importance of both the multidrug resistance family and TOR signaling in caffeine tolerance and can inform future exploration of networks affected by caffeine and other TOR inhibitors in model systems and industrial applications.

摘要

咖啡因是一种天然化合物,能抑制雷帕霉素靶蛋白(TOR)这一主要的细胞信号调节剂,从而产生广泛的效应,包括抑制生长。酿酒酵母可以适应咖啡和可可发酵以及实验系统中高浓度咖啡因,耐受咖啡因。虽然已经确定了许多影响咖啡因耐受性和 TOR 信号的因素,但它们的相互作用和调节仍有待进一步研究。我们通过高中生进化酵母种群与大学实验室的进一步研究探索之间的合作,利用酿酒酵母的实验进化来研究咖啡因耐受性的遗传贡献。我们鉴定了多个在 PDR1 和 PDR5 中发生突变的进化酵母种群,这些突变与多药耐药性有关,结果表明,多药耐药家族转录因子 Pdr1、Pdr3 和 Yrr1 的功能获得性突变对咖啡因耐受性有不同的贡献。我们还鉴定了 TOR 效应物 Sit4、Sky1 和 Tip41 的功能丧失性突变,并表明这些突变有助于咖啡因耐受性。这些发现支持了多药耐药家族和 TOR 信号在咖啡因耐受性中的重要性,并可以为未来在模型系统和工业应用中研究受咖啡因和其他 TOR 抑制剂影响的网络提供信息。

https://cdn.ncbi.nlm.nih.gov/pmc/blobs/27ca/11373655/1e761165daf8/jkae148_ga.jpg

文献AI研究员

20分钟写一篇综述,助力文献阅读效率提升50倍。

立即体验

用中文搜PubMed

大模型驱动的PubMed中文搜索引擎

马上搜索

文档翻译

学术文献翻译模型,支持多种主流文档格式。

立即体验