Suppr超能文献

土壤微生物碳利用效率对森林生物群系的温度敏感性。

Thermal sensitivity of soil microbial carbon use efficiency across forest biomes.

机构信息

State key Laboratory for Crop Stress Resistance and High-Efficiency Production, College of Agronomy, Northwest A&F University, Yangling, Shaanxi, China.

The Research Center of Recycle Agricultural Engineering and Technology of Shaanxi Province, Yangling, Shaanxi, China.

出版信息

Nat Commun. 2024 Jul 25;15(1):6269. doi: 10.1038/s41467-024-50593-6.

Abstract

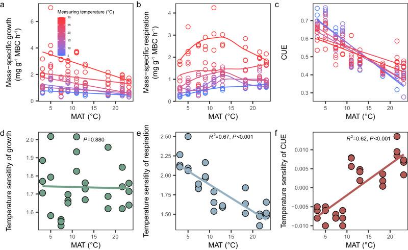
Understanding the large-scale pattern of soil microbial carbon use efficiency (CUE) and its temperature sensitivity (CUE) is critical for understanding soil carbon-climate feedback. We used the O-HO tracer method to quantify CUE and CUE along a north-south forest transect. Climate was the primary factor that affected CUE and CUE, predominantly through direct pathways, then by altering soil properties, carbon fractions, microbial structure and functions. Negative CUE (CUE decreases with measuring temperature) in cold forests (mean annual temperature lower than 10 °C) and positive CUE (CUE increases with measuring temperature) in warm forests (mean annual temperature greater than 10 °C) suggest that microbial CUE optimally operates at their adapted temperature. Overall, the plasticity of microbial CUE and its temperature sensitivity alter the feedback of soil carbon to climate warming; that is, a climate-adaptive microbial community has the capacity to reduce carbon loss from soil matrices under corresponding favorable climate conditions.

摘要

了解土壤微生物碳利用效率(CUE)及其温度敏感性(CUE)的大规模模式对于理解土壤碳-气候反馈至关重要。我们使用 O-HO 示踪剂方法沿南北森林样带量化 CUE 和 CUE。气候是影响 CUE 和 CUE 的主要因素,主要通过直接途径,然后通过改变土壤性质、碳分数、微生物结构和功能。在寒冷森林(年平均温度低于 10°C)中存在负 CUE(随着测量温度的升高,CUE 降低)和在温暖森林(年平均温度高于 10°C)中存在正 CUE(随着测量温度的升高,CUE 升高)表明微生物 CUE 在其适应的温度下最佳运行。总体而言,微生物 CUE 的可塑性及其温度敏感性改变了土壤碳对气候变暖的反馈;也就是说,适应气候的微生物群落具有在相应有利的气候条件下减少土壤基质中碳损失的能力。

https://cdn.ncbi.nlm.nih.gov/pmc/blobs/c201/11272934/d007086c914f/41467_2024_50593_Fig1_HTML.jpg

文献AI研究员

20分钟写一篇综述,助力文献阅读效率提升50倍。

立即体验

用中文搜PubMed

大模型驱动的PubMed中文搜索引擎

马上搜索

文档翻译

学术文献翻译模型,支持多种主流文档格式。

立即体验