Suppr超能文献

含席夫碱和2-氨基-4-甲基嘧啶的新型纳米级V(III)、Fe(III)和Ni(II)配合物:合成、性质及生物活性

New Nanosized V(III), Fe(III), and Ni(II) Complexes Comprising Schiff Base and 2-Amino-4-Methyl Pyrimidine: Synthesis, Properties, and Biological Activity.

作者信息

Al-Fakeh Maged S, Alsikhan Maha A, Alnawmasi Jawza S H, Alluhayb Abdullah H, Al-Wahibi Mona S

机构信息

Department of Chemistry, College of Science, Qassim University, Buraydah 51452, Saudi Arabia.

Taiz University, Taiz 3086, Yemen.

出版信息

Int J Biomater. 2024 May 14;2024:9198129. doi: 10.1155/2024/9198129. eCollection 2024.

Abstract

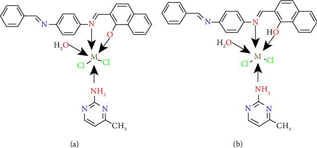
A new synthesis of mixed ligand complexes vanadium(III), iron(III), and nickel(II), [M : L1 : L2], where L1 = Schiff base 2-((E)-((4-(((E)-benzylidene)amino)phenyl)imino)methyl)-naphthalene-1-ol (CHNO) as for L2 = AMPY 2-amino-4-methyl pyrimidine (CHN) were prepared in powder and investigated. Element analysis, molar conductivity, FT-IR, UV-vis, and magnetic susceptibility values have been acquired to describe the generated complexes. The values of vanadium(III), iron(III), and nickel(II) compounds are, respectively, 2.88 BM, 5.96 BM, and 2.92 BM, demonstrating that all compounds conform to the recommended octahedral geometry. Thermal gravimetric analysis (TGA) is used to further assess the complexes and establish the temperature stability and degradation of the metal complexes. The calculations abstracted from XRD patterns propose nanosized complexes (average size 29-50 nm). The microstructures of the samples have also been investigated by scanning electron microscopy (SEM). The disc diffusion method was used to assess and analyze the inhibition of the growth of compounds against harmful bacterial and fungal strains. The prepared complexes were tested against three strains of bacteria, one gram-positive strain (), two gram-negative strains ( and ), and one fungus (). The complexes inferred antimicrobial activity against the studied organisms. Specifically, vanadium(III) and nickel(II) are more effective than iron(III), making them promising drugs.

摘要

一种新型混合配体配合物钒(III)、铁(III)和镍(II),即[M : L1 : L2]的合成,其中L1 = 席夫碱2-((E)-((4-(((E)-苄叉基)氨基)苯基)亚氨基)甲基)-萘-1-醇(CHNO),L2 = 2-氨基-4-甲基嘧啶(CHN),已制备成粉末并进行了研究。已获取元素分析、摩尔电导率、傅里叶变换红外光谱(FT-IR)、紫外可见光谱(UV-vis)和磁化率值来描述生成的配合物。钒(III)、铁(III)和镍(II)化合物的值分别为2.88玻尔磁子(BM)、5.96 BM和2.92 BM,表明所有化合物均符合推荐的八面体几何结构。热重分析(TGA)用于进一步评估配合物,并确定金属配合物的热稳定性和降解情况。从X射线衍射(XRD)图谱提取的计算结果表明配合物为纳米尺寸(平均尺寸29 - 50 nm)。还通过扫描电子显微镜(SEM)研究了样品的微观结构。采用纸片扩散法评估和分析化合物对有害细菌和真菌菌株生长的抑制作用。所制备的配合物针对三种细菌菌株进行了测试,一种革兰氏阳性菌株(),两种革兰氏阴性菌株(和),以及一种真菌()。这些配合物对所研究的生物体具有抗菌活性。具体而言,钒(III)和镍(II)比铁(III)更有效,使其成为有前景的药物。

https://cdn.ncbi.nlm.nih.gov/pmc/blobs/408c/11390230/592a6fe374f8/IJBM2024-9198129.001.jpg

文献AI研究员

20分钟写一篇综述,助力文献阅读效率提升50倍。

立即体验

用中文搜PubMed

大模型驱动的PubMed中文搜索引擎

马上搜索

文档翻译

学术文献翻译模型,支持多种主流文档格式。

立即体验