Suppr超能文献

森林浴(森林疗法)对压力人群的影响。

Effects of forest bathing (Shinrin-yoku) in stressed people.

作者信息

Queirolo Luca, Fazia Teresa, Roccon Andrea, Pistollato Elisa, Gatti Luigi, Bernardinelli Luisa, Zanette Gastone, Berrino Franco

机构信息

Department of Neurosciences, University of Padua, Padua, Italy.

Department of Philosophy, Sociology, Education and Applied Psychology, University of Padua, Padua, Italy.

出版信息

Front Psychol. 2024 Nov 1;15:1458418. doi: 10.3389/fpsyg.2024.1458418. eCollection 2024.

Abstract

AIM

This study aims to explore the physiological effect of forest bathing on stress management.

METHODS

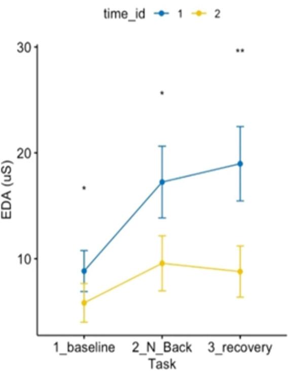
A total of 29 volunteers participated in this pre-post design, which lacked a control group. Several physiological parameters were recorded, including heart rate (HR), heart rate variability (HRV), electrodermal activity (EDA), blood pressure (BP), immunoglobulin A (IGA), and salivary cortisol (sCort). Additionally, the Perceived Stress Scale (PSS-10) was administered before forest exposure. Measurements were taken before and after participants spent 2 days fully immersed in a forest environment. To further assess stress management, participants completed a Mental Arithmetic Task (MAT) before and after forest immersion, during which EDA, HRV, and HR were monitored using an Empatica E4 wristband. Measurements were taken at baseline, during MAT, and afterward (recovery).

RESULTS

Participants exhibited moderate perceived stress levels before forest immersion (mean PSS-10 = 21.22, SD = 3.78). Post-forest exposure, there was a significant decrease in sCort ( < 0.05) and EDA ( < 0.001), while HRV increased ( < 0.001), and diastolic blood pressure rose ( < 0.05). ANOVA results from the MAT showed a significant increase in parasympathetic activity across all conditions post-immersion ( < 0.05), except during recovery, while EDA decreased in all conditions post-forest exposure ( < 0.05).

CONCLUSION

Shinrin-yoku significantly improved stress management at a physiological level and could be a valuable intervention for individuals experiencing stress. However, longitudinal studies with a control group are necessary to determine whether these effects are sustained over time. Nonetheless, this study highlights the potential benefits of forest immersion for stress reduction by enhancing sympathovagal balance and the adaptability of the stress response system.

摘要

目的

本研究旨在探讨森林浴对压力管理的生理影响。

方法

共有29名志愿者参与了这项前后对照设计的研究,该研究缺乏对照组。记录了几个生理参数,包括心率(HR)、心率变异性(HRV)、皮肤电活动(EDA)、血压(BP)、免疫球蛋白A(IGA)和唾液皮质醇(sCort)。此外,在森林暴露前使用感知压力量表(PSS-10)进行测量。在参与者完全沉浸在森林环境2天前后进行测量。为了进一步评估压力管理情况,参与者在森林沉浸前后完成了一项心算任务(MAT),在此期间使用Empatica E4腕带监测EDA、HRV和HR。在基线、MAT期间及之后(恢复阶段)进行测量。

结果

参与者在森林沉浸前表现出中度的感知压力水平(平均PSS-10 = 21.22,标准差 = 3.78)。森林暴露后,sCort(<0.05)和EDA(<0.001)显著降低,而HRV增加(<0.001),舒张压升高(<0.05)。MAT的方差分析结果显示,除恢复阶段外,沉浸后所有条件下副交感神经活动均显著增加(<0.05),而森林暴露后所有条件下EDA均降低(<0.05)。

结论

森林浴在生理水平上显著改善了压力管理,对于经历压力的个体可能是一种有价值的干预措施。然而,需要有对照组的纵向研究来确定这些效果是否能长期持续。尽管如此,本研究强调了森林沉浸通过增强交感迷走神经平衡和压力反应系统的适应性对减轻压力的潜在益处。

https://cdn.ncbi.nlm.nih.gov/pmc/blobs/7cca/11565252/da049fa044f2/fpsyg-15-1458418-g001.jpg

文献检索

告别复杂PubMed语法,用中文像聊天一样搜索,搜遍4000万医学文献。AI智能推荐,让科研检索更轻松。

立即免费搜索

文件翻译

保留排版,准确专业,支持PDF/Word/PPT等文件格式,支持 12+语言互译。

免费翻译文档

深度研究

AI帮你快速写综述,25分钟生成高质量综述,智能提取关键信息,辅助科研写作。

立即免费体验