Suppr超能文献

氨苄西林联合头孢曲松对具有/不具有VanC表型的非粪肠球菌和非屎肠球菌分离株的体外活性:对感染性心内膜炎的临床意义

In Vitro Activity of Ampicillin Plus Ceftriaxone Against Non- and Non- Enterococcal Isolates With/Without VanC Phenotype: Clinical Implications for Infective Endocarditis.

作者信息

García-González Javier, Cañas María A, Cuervo Guillermo, Hernández-Meneses Marta, Verdejo Miguel A, Bodro Marta, Díez de Los Ríos Javier, Gasch Oriol, Ribera Alba, Falces Carles, Perissinotti Andrés, Vidal Bárbara, Quintana Eduard, Moreno Asunción, Piquet Maria, Roca Ignasi, Fernández-Pittol Mariana, San José-Villar Sol M, García-de-la-Mària Cristina, Miró José M

机构信息

Experimental Endocarditis Laboratory, Hospital Clínic, Fundació de Recerca Clínic Barcelona-Institut d'Investigacions Biomèdiques August Pi i Sunyer, University of Barcelona, 08036 Barcelona, Spain.

Infectious Diseases Service, Hospital Clínic, Fundació de Recerca Clínic Barcelona-Institut d'Investigacions Biomèdiques August Pi i Sunyer, University of Barcelona, 08036 Barcelona, Spain.

出版信息

Microorganisms. 2024 Dec 5;12(12):2511. doi: 10.3390/microorganisms12122511.

Abstract

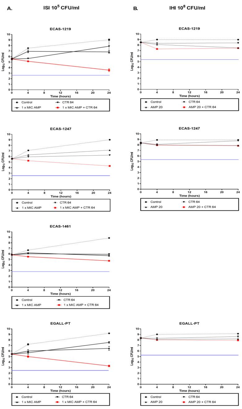
(1) Background: Alternative antibiotics are needed to treat infective endocarditis (IE) caused by non-/non- enterococci; we aimed to assess the in vitro activity of ampicillin plus ceftriaxone (AMP + CTR) against these enterococci and to describe its clinical efficacy in IE cases. (2) Methods: Time-kill curves with standard (ISI) and high (IHI) inocula were performed to test isolates [3 (ECAS) and 1 (EGALL)] and non- isolates [1 (EDUR), 1 (EHIR) and 1 (ERAF)]. The narrative literature review of IE cases treated with AMP + CTR was analyzed alongside three study cases. Clinical outcomes were relapse and death. (3) Results: Ampicillin plus gentamicin (AMP + GEN) showed synergistic and bactericidal activity against most isolates. AMP + CTR was synergistic at ISI for EGALL, EDUR, and EHIR and bactericidal against EHIR. At IHI, indifferent activity was observed for all isolates. In IE cases treated with AMP + CTR, it was only effective for EDUR and EHIR. Clinical information for EGALL IE is lacking. For IE caused by ECAS and ERAF, AMP + CTR seems suboptimal or ineffective, respectively. (4) AMP + CTR cannot be recommended for treating IE due to ECAS/ERAF. In contrast, this combination was effective in IE caused by EDUR/EHIR and could be recommended.

摘要

(1) 背景:需要替代抗生素来治疗由非肠球菌引起的感染性心内膜炎(IE);我们旨在评估氨苄西林加头孢曲松(AMP + CTR)对这些肠球菌的体外活性,并描述其在IE病例中的临床疗效。(2) 方法:采用标准接种量(ISI)和高接种量(IHI)进行时间杀菌曲线试验,以检测分离株[3株(ECAS)和1株(EGALL)]和非分离株[1株(EDUR)、1株(EHIR)和1株(ERAF)]。对用AMP + CTR治疗的IE病例的叙述性文献综述与三个研究病例一起进行了分析。临床结局为复发和死亡。(3) 结果:氨苄西林加庆大霉素(AMP + GEN)对大多数分离株显示出协同和杀菌活性。AMP + CTR在ISI时对EGALL、EDUR和EHIR具有协同作用,对EHIR具有杀菌作用。在IHI时,所有分离株均观察到无差异活性。在用AMP + CTR治疗的IE病例中,它仅对EDUR和EHIR有效。缺乏EGALL IE的临床信息。对于由ECAS和ERAF引起的IE,AMP + CTR似乎分别次优或无效。(4) 不推荐使用AMP + CTR治疗由ECAS/ERAF引起的IE。相比之下,这种联合用药对由EDUR/EHIR引起的IE有效,可以推荐使用。

https://cdn.ncbi.nlm.nih.gov/pmc/blobs/7b58/11677854/22d781a8f30d/microorganisms-12-02511-g001a.jpg

文献AI研究员

20分钟写一篇综述,助力文献阅读效率提升50倍。

立即体验

用中文搜PubMed

大模型驱动的PubMed中文搜索引擎

马上搜索

文档翻译

学术文献翻译模型,支持多种主流文档格式。

立即体验