Suppr超能文献

通过四波混频干涉术对单个纳米颗粒的手性光学效应进行高灵敏度检测。

High-Sensitivity Detection of Chiro-Optical Effects in Single Nanoparticles by Four-Wave Mixing Interferometry.

作者信息

Borri Paola, Payne Lukas, Masia Francesco, Esposito Marco, Tasco Vittorianna, Passaseo Adriana, Langbein Wolfgang

机构信息

Cardiff University School of Biosciences, Museum Avenue, Cardiff CF10 3AX, United Kingdom.

CNR NANOTEC Institute of Nanotechnology, Via Monteroni, Lecce 73100, Italy.

出版信息

ACS Photonics. 2024 Dec 18;12(1):392-401. doi: 10.1021/acsphotonics.4c01782. eCollection 2025 Jan 15.

Abstract

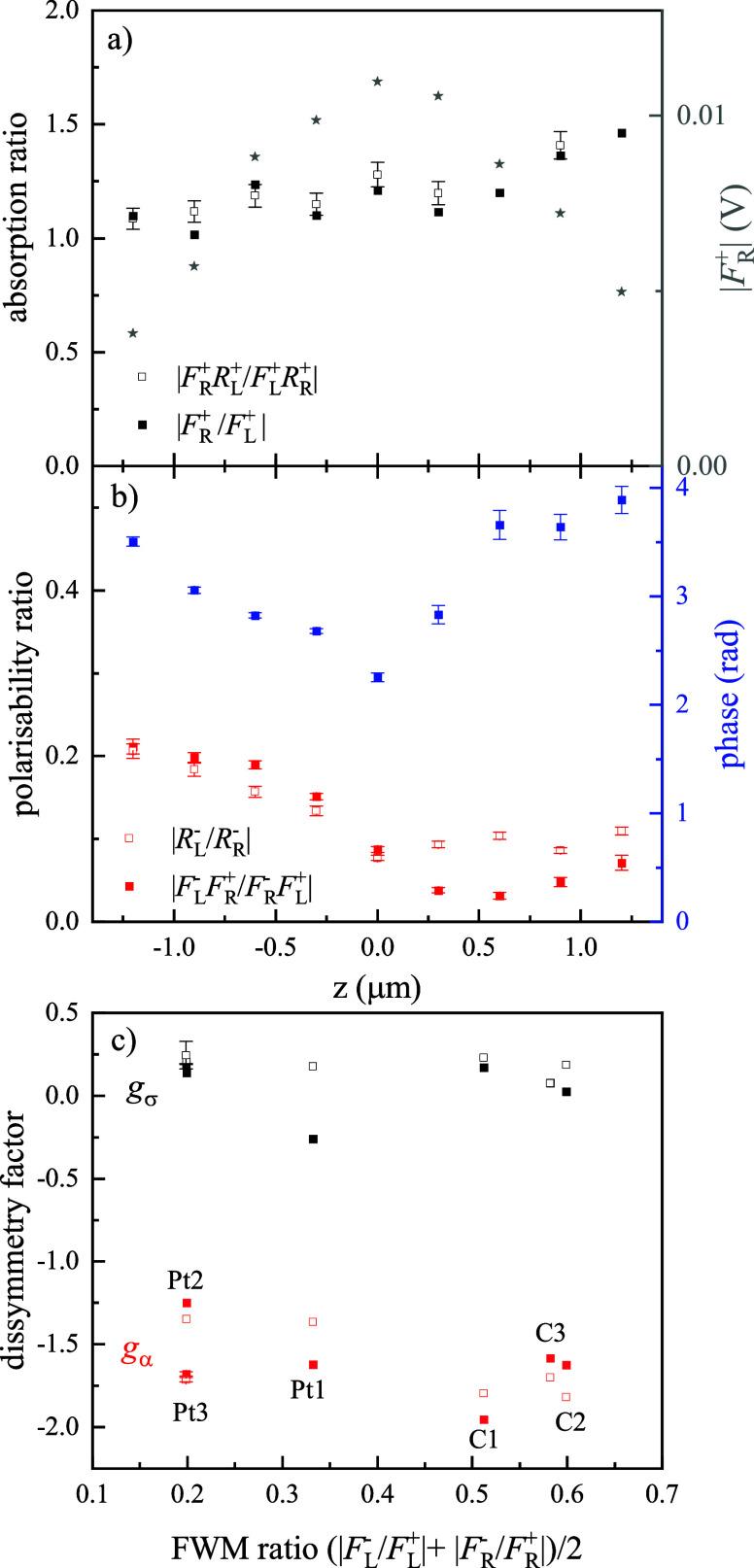
The field of chiral nanoparticles is rapidly expanding, yet measuring the chirality of single nano-objects remains a challenging endeavor. Here, we report a technique to detect chiro-optical effects in single plasmonic nanoparticles by means of phase-sensitive polarization-resolved four-wave mixing interferometric microscopy. Beyond conventional circular dichroism, the method is sensitive to the particle polarizability, in amplitude and phase. First, we demonstrate its application on single chiral nanohelices fabricated by focused ion beam induced deposition. We examined the combination of detected fields, which measures the particle polarizability, and showed that this is a sensitive reporter of chirality, providing dissymmetry factors ( ) impressively approaching unity. We then applied the method to a set of individual small gold nanoparticles near the dipole limit (60 nm nominal size), having correspondingly small chiral effects from the intrinsic lattice defects and nonperfectly spherical shape. We find that is randomly distributed in the population, consistent with its nondeterministic origin, but again exhibits remarkably high values, an order of magnitude higher than those obtained using conventional light absorption. Considering the importance of chiral plasmonic nanoparticles in fields ranging from catalysis to metamaterials, this technique offers a powerful way to quantify chiro-optical effects at the single particle level with unprecedented sensitivity.

摘要

手性纳米粒子领域正在迅速扩展,但测量单个纳米物体的手性仍然是一项具有挑战性的工作。在此,我们报告一种通过相敏偏振分辨四波混频干涉显微镜检测单个等离子体纳米粒子中手性光学效应的技术。除了传统的圆二色性外,该方法对粒子的极化率在幅度和相位上都很敏感。首先,我们展示了其在通过聚焦离子束诱导沉积制备的单个手性纳米螺旋上的应用。我们研究了用于测量粒子极化率的检测场的组合,并表明这是手性的一个敏感报告量,提供的不对称因子( )令人印象深刻地接近1。然后,我们将该方法应用于一组接近偶极极限(标称尺寸60 nm)的单个小金纳米粒子,这些粒子由于固有晶格缺陷和非完美球形而具有相应较小的手性效应。我们发现 在总体中是随机分布的,与其非确定性来源一致,但再次显示出非常高的值,比使用传统光吸收获得的值高一个数量级。考虑到手性等离子体纳米粒子在从催化到超材料等领域的重要性,该技术提供了一种以前所未有的灵敏度在单粒子水平上量化手性光学效应的强大方法。

https://cdn.ncbi.nlm.nih.gov/pmc/blobs/20fa/11741159/dfa0c148e55c/ph4c01782_0001.jpg

文献AI研究员

20分钟写一篇综述,助力文献阅读效率提升50倍。

立即体验

用中文搜PubMed

大模型驱动的PubMed中文搜索引擎

马上搜索

文档翻译

学术文献翻译模型,支持多种主流文档格式。

立即体验