Sirek Tomasz, Król-Jatręga Katarzyna, Borawski Przemysław, Zmarzły Nikola, Boroń Dariusz, Ossowski Piotr, Nowotny-Czupryna Olga, Boroń Kacper, Janiszewska-Bil Dominika, Mitka-Krysiak Elżbieta, Grabarek Beniamin Oskar
Department of Plastic Surgery, Faculty of Medicine, Academia of Silesia, Katowice, Poland.
Department of Plastic and Reconstructive Surgery, Hospital for Minimally Invasive and Reconstructive Surgery in Bielsko-Biała, Bielsko-Biala, Poland.
Front Oncol. 2025 Jan 9;14:1515387. doi: 10.3389/fonc.2024.1515387. eCollection 2024.
Breast cancer remains a leading cause of mortality among women, driven by the molecular complexity of its various subtypes. This study aimed to investigate the differential expression of genes and miRNAs involved in the PI3K/AKT/mTOR signaling pathway, a critical regulator of cancer progression.
We analyzed tumor tissues from five breast cancer subtypes-luminal A, luminal B HER2-negative, luminal B HER2-positive, HER2-positive, and triple-negative breast cancer (TNBC)-and compared them with non-cancerous tissues. Microarray and qRT-PCR techniques were employed to profile mRNAs and miRNAs, while bioinformatic tools predicted miRNA-mRNA interactions. Statistical analysis was performed with a statistical significance threshold (p) < 0.05.
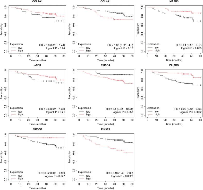
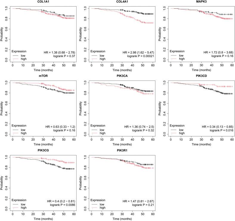
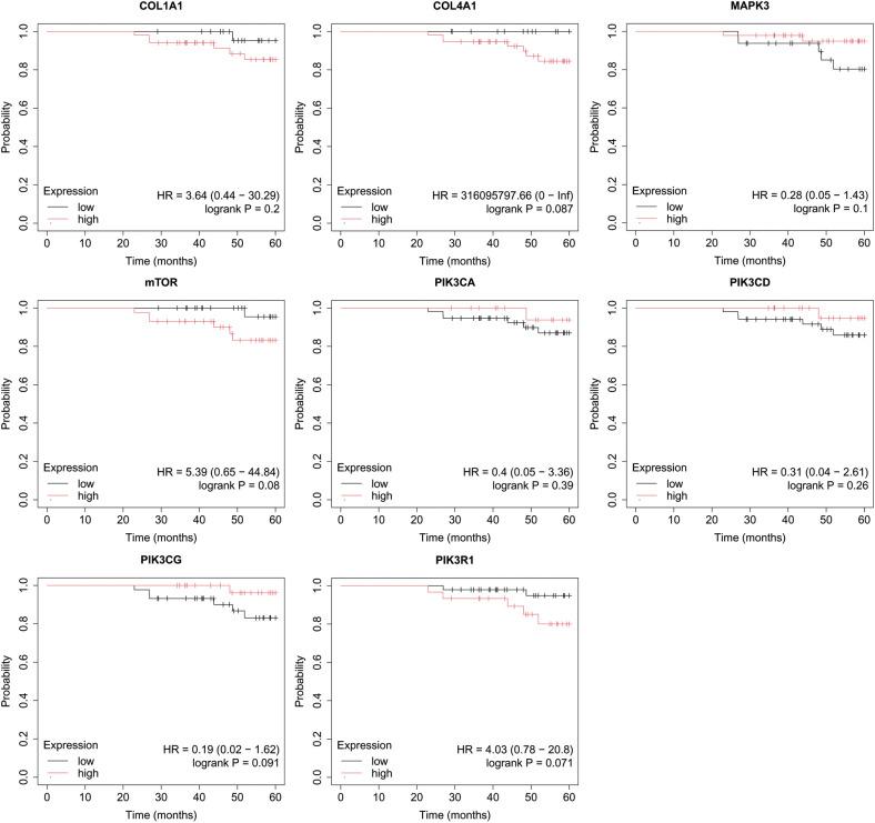
We identified several upregulated genes across all subtypes, with TNBC and HER2-positive cancers showing the most significant changes. Key genes such as , , , , and were found to be overexpressed, correlating with increased cancer aggressiveness. miRNA analysis revealed that miR-190a-3p, miR-4729, and miR-19a-3p potentially regulate these genes, influencing the PI3K/AKT/mTOR pathway. For instance, reduced expression of miR-190a-3p may contribute to the overexpression of PIK3CA and other pathway components, enhancing metastatic potential.
Our findings suggest that the PI3K/AKT/mTOR pathway and its miRNA regulators play crucial roles in breast cancer progression, particularly in aggressive subtypes like TNBC. The identified miRNAs and mRNAs hold potential as biomarkers for diagnosis and treatment, but further validation in functional studies is required. This study provides a foundation for targeted therapies aimed at modulating this critical pathway to improve breast cancer outcomes.
乳腺癌仍然是女性死亡的主要原因,这是由其各种亚型的分子复杂性所驱动的。本研究旨在调查参与PI3K/AKT/mTOR信号通路的基因和微小RNA(miRNA)的差异表达,该信号通路是癌症进展的关键调节因子。
我们分析了五种乳腺癌亚型(腔面A型、腔面B型HER2阴性、腔面B型HER2阳性、HER2阳性和三阴性乳腺癌(TNBC))的肿瘤组织,并将其与非癌组织进行比较。采用微阵列和qRT-PCR技术分析mRNA和miRNA,同时利用生物信息学工具预测miRNA-mRNA相互作用。统计分析的统计学显著性阈值(p)<0.05。
我们在所有亚型中鉴定出了几个上调基因,其中TNBC和HER2阳性癌症显示出最显著的变化。发现关键基因如 、 、 、 和 过度表达,这与癌症侵袭性增加相关。miRNA分析表明,miR-190a-3p、miR-4729和miR-19a-3p可能调节这些基因,影响PI3K/AKT/mTOR通路。例如,miR-190a-3p表达降低可能导致PIK3CA和其他通路成分的过度表达,增强转移潜能。
我们的研究结果表明,PI3K/AKT/mTOR通路及其miRNA调节因子在乳腺癌进展中起着关键作用,特别是在TNBC等侵袭性亚型中。所鉴定的miRNA和mRNA有望作为诊断和治疗的生物标志物,但需要在功能研究中进一步验证。本研究为旨在调节这一关键通路以改善乳腺癌治疗效果的靶向治疗提供了基础。