Suppr超能文献

气相和晶相中的2,4-二氯苯氧乙酸及其在蒙脱石中的插层作用——一项实验与理论研究

2,4-Dichlorophenoxyacetic Acid in the Gas and Crystal Phases and Its Intercalation in Montmorillonite-An Experimental and Theoretical Study.

作者信息

Sainz-Díaz Claro Ignacio, Jorge Nelly L, Romero Jorge M, Grand André, Hernández-Laguna Alfonso

机构信息

Instituto Andaluz de Ciencias de la Tierra (IACT-CSIC), Consejo Superior de Investigaciones Científicas, Av. de las Palmeras 4, 18100 Armilla, Granada, Spain.

Laboratorio de Investigaciones en Tecnología del Medio Ambiente, Área de Química Física, Facultad de Ciencias Exactas y Naturales y Agrimensura, Universidad del Nordeste, Corrientes 3400, Argentina.

出版信息

Molecules. 2025 Jan 17;30(2):367. doi: 10.3390/molecules30020367.

Abstract

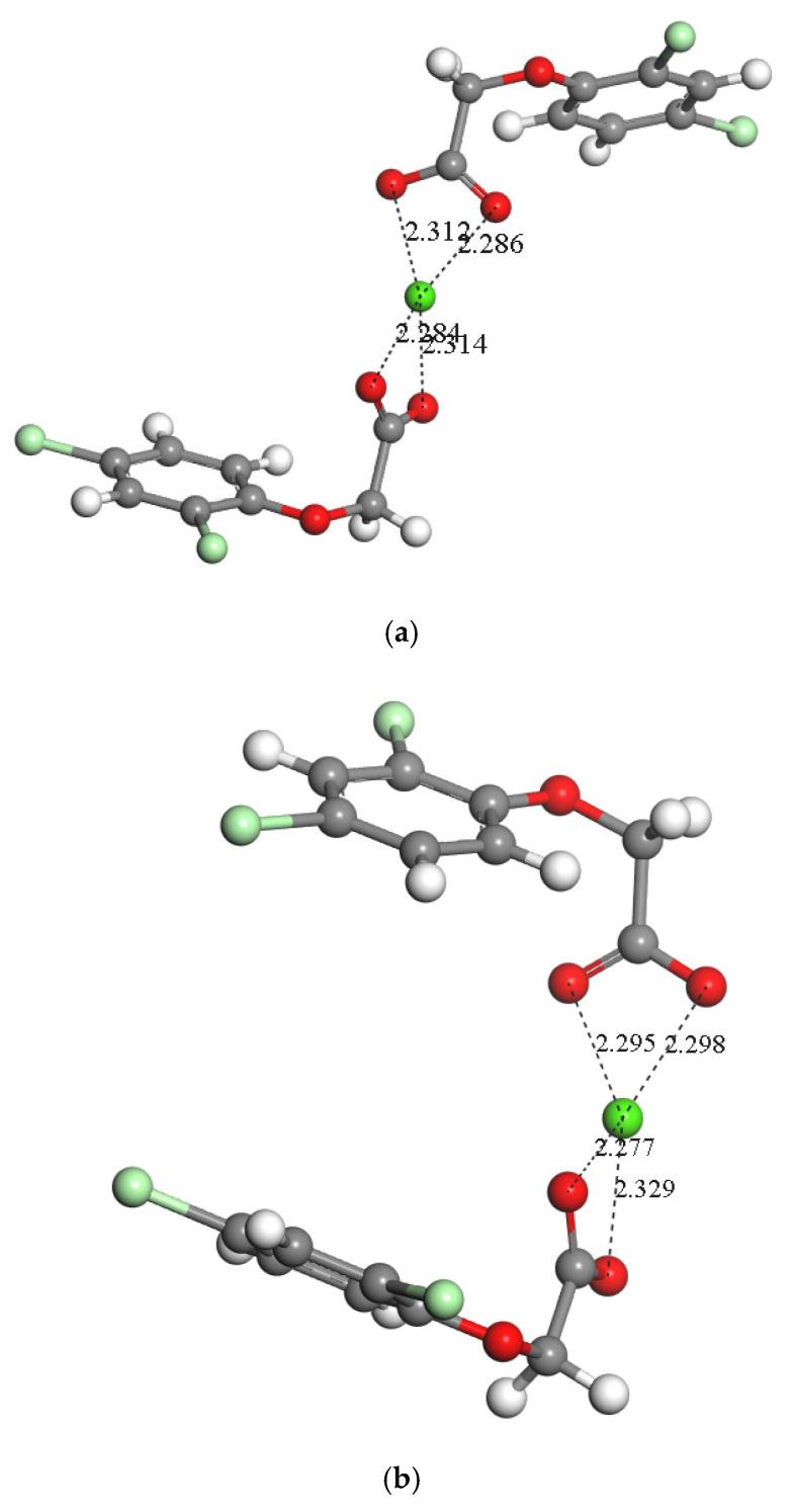
Many properties of 2,4-dichlorophenoxyacetic acid (2,4-D) depend on its molecular environment, such as whether it is an isolated molecule, a dimer, or in a crystalline state. The molecular geometry, conformational analysis, and vibrational spectrum of 2,4-D were theoretically calculated using Density Functional Theory (DFT) methods. A new slightly more stable conformer was found, which is different to those previously reported. The most stable conformer shows a dimer by means of hydrogen bonds between the carboxylic groups of both molecules, which agrees with the experimental results. The crystal structure of 2,4-D was also calculated with 3D periodical boundary conditions at the DFT level. From the theoretical IR spectra, a vibrational analysis of this molecular species was accomplished, and the bands were reassigned. H and C NMR in the dissolution and solid states, respectively, showed intramolecular hydrogen bonds between carboxylic acid groups. The dimer is more stable than the isolated molecule. All these results indicated that the dimer can also exist in the solid state, which could explain the low solubility of this compound. In addition, the intercalation of 2,4-D into the confined interlayer space of montmorillonite was also calculated, and it was found that the adsorption is energetically favourable. This result was experimentally confirmed. These findings predicted that these natural clay minerals, which are found in the environment, can be excellent adsorbents for the 2,4-D pollutant.

摘要

2,4-二氯苯氧乙酸(2,4-D)的许多性质取决于其分子环境,例如它是孤立分子、二聚体还是处于晶体状态。使用密度泛函理论(DFT)方法对2,4-D的分子几何结构、构象分析和振动光谱进行了理论计算。发现了一种新的稍稳定的构象异构体,与先前报道的不同。最稳定的构象异构体通过两个分子羧基之间的氢键形成二聚体,这与实验结果一致。还在DFT水平上用三维周期性边界条件计算了2,4-D的晶体结构。从理论红外光谱完成了该分子物种的振动分析,并对谱带进行了重新归属。分别在溶解态和固态下的H和C NMR显示羧酸基团之间存在分子内氢键。二聚体比孤立分子更稳定。所有这些结果表明二聚体也可以存在于固态中,这可以解释该化合物的低溶解度。此外,还计算了2,4-D插入蒙脱石受限层间空间的情况,发现吸附在能量上是有利的。这一结果得到了实验证实。这些发现预测,环境中存在的这些天然粘土矿物可以成为2,4-D污染物的优良吸附剂。

https://cdn.ncbi.nlm.nih.gov/pmc/blobs/cef1/11768003/26ba7a9b190b/molecules-30-00367-g001a.jpg

文献AI研究员

20分钟写一篇综述,助力文献阅读效率提升50倍。

立即体验

用中文搜PubMed

大模型驱动的PubMed中文搜索引擎

马上搜索

文档翻译

学术文献翻译模型,支持多种主流文档格式。

立即体验