Suppr超能文献

SPP1作为神经胶质瘤和其他癌症类型的预后及免疫治疗生物标志物:一项泛癌研究

SPP1 as a Prognostic and Immunotherapeutic Biomarker in Gliomas and Other Cancer Types: A Pan-Cancer Study.

作者信息

Wang Kan, Wan Jinxin, Zheng Ruipeng, Xiao Yifei, Lv Fengjun, Ge Haitao, Yang Guang, Cheng Yu

机构信息

Department of Neurosurgery, The First Affiliated Hospital of Harbin Medical University, Harbin City, Heilongjiang Province, 150007, People's Republic of China.

Department of Neurosurgery, Guangdong Provincial People's Hospital, Zhuhai Hospital (Jinwan Central Hospital of Zhuhai), Zhuhai City, Guangdong Province, 519090, People's Republic of China.

出版信息

J Inflamm Res. 2025 Feb 13;18:2247-2265. doi: 10.2147/JIR.S505237. eCollection 2025.

Abstract

BACKGROUND

Gliomas, including glioblastoma (GBM), present significant treatment challenges due to their poor prognosis and complex tumor microenvironment. This study investigates the role of Secreted Phosphoprotein 1 (SPP1) as a prognostic and immunotherapeutic biomarker in gliomas and other cancers through pan-cancer analysis.

METHODS

A comprehensive pan-cancer analysis was conducted using datasets from UCSC TCGA Pan-Cancer, TCGA-GBM, UALCAN, and single-cell sequencing data from GEO and TISCH. The correlation of SPP1 expression with overall survival (OS), progression-free survival (PFS), immune cell infiltration, and immune checkpoint markers was analyzed. Functional validation was performed via SPP1 knockdown in glioma cell lines to evaluate effects on proliferation, invasion, and immune interactions.

RESULTS

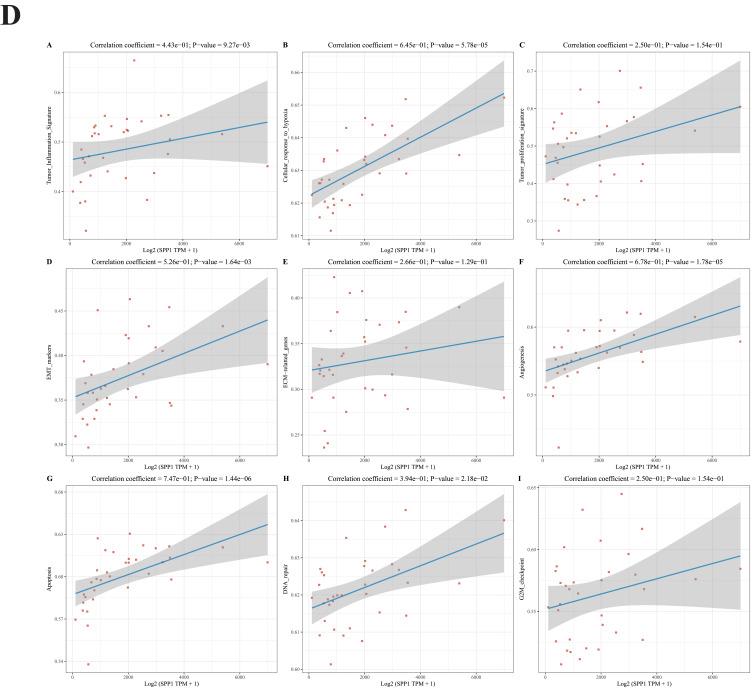
SPP1 was found to be overexpressed in 27 tumor types, with high expression correlating with poor OS, PFS, and increased immune cell infiltration, particularly with CD8+ T cells and macrophages. Single-cell analysis indicated SPP1 enrichment in macrophages interacting with malignant GBM cells. Knockdown of SPP1 significantly inhibited glioma cell proliferation, invasion, and promoted apoptosis.

CONCLUSION

The findings suggest that SPP1 is a promising target for immunotherapy, potentially improving outcomes for patients with gliomas and other cancers. Further research is warranted to explore SPP1-targeted therapies and their efficacy in clinical settings.

摘要

背景

胶质瘤,包括胶质母细胞瘤(GBM),由于其预后不良和复杂的肿瘤微环境,带来了重大的治疗挑战。本研究通过泛癌分析调查分泌型磷蛋白1(SPP1)作为胶质瘤和其他癌症的预后及免疫治疗生物标志物的作用。

方法

使用来自加州大学圣克鲁兹分校(UCSC)TCGA泛癌数据集、TCGA-GBM数据集、UALCAN数据集以及来自基因表达综合数据库(GEO)和肿瘤单细胞综合数据库(TISCH)的单细胞测序数据进行全面的泛癌分析。分析SPP1表达与总生存期(OS)、无进展生存期(PFS)、免疫细胞浸润和免疫检查点标志物的相关性。通过在胶质瘤细胞系中敲低SPP1进行功能验证,以评估其对增殖、侵袭和免疫相互作用的影响。

结果

发现SPP1在27种肿瘤类型中过表达,高表达与较差的OS、PFS以及免疫细胞浸润增加相关,特别是与CD8+T细胞和巨噬细胞相关。单细胞分析表明SPP1在与恶性GBM细胞相互作用的巨噬细胞中富集。敲低SPP1显著抑制胶质瘤细胞增殖、侵袭并促进细胞凋亡。

结论

研究结果表明SPP1是免疫治疗的一个有前景的靶点,可能改善胶质瘤和其他癌症患者的预后。有必要进一步研究探索针对SPP1的疗法及其在临床环境中的疗效。

https://cdn.ncbi.nlm.nih.gov/pmc/blobs/a2ba/11832131/50e3992639ff/JIR-18-2247-g0001.jpg

文献AI研究员

20分钟写一篇综述,助力文献阅读效率提升50倍。

立即体验

用中文搜PubMed

大模型驱动的PubMed中文搜索引擎

马上搜索

文档翻译

学术文献翻译模型,支持多种主流文档格式。

立即体验