Suppr超能文献

基于中红外光谱和支持向量机算法的CH、CH和CH多气体传感

CH, CH, and CH Multi-Gas Sensing Based on Mid-Infrared Spectroscopy and SVM Algorithm.

作者信息

Shao Wenyuan, Jia Yunjiang, Su Xilian, Zhao Benlei, Jiang Jiachen, Gao Limei, Zhu Xiaosong, Shi Yiwei

机构信息

School of Information Science and Technology, Fudan University, Shanghai 200438, China.

Zhongshan-Fudan Joint Innovation Center, Zhongshan 528400, China.

出版信息

Sensors (Basel). 2025 Feb 26;25(5):1427. doi: 10.3390/s25051427.

Abstract

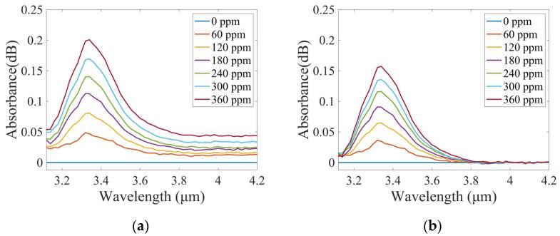
A multi-gas sensing system based on mid-infrared spectral absorption was developed for the detection of CH, CH, and CH. The system utilized a broadband infrared source, a hollow waveguide (HWG) absorption cell, and a tunable Fabry-Pérot (FP) detector. The limits of detection (LODs) of CH, CH, and CH were 7.33 ppm, 2.13 ppm, and 8.09 ppm, respectively. For multi-gas measurements, the support vector machine (SVM) algorithm model was employed to calculate the concentration of each component. The root mean square error of prediction (RMSEP) values for CH, CH, and CH were 15.91 ppm (1.26%), 1.64 ppm (0.57%), and 6.95 ppm (0.55%), respectively. The generation of stimulated absorption spectra of mixed gases was realized, and the sample selection of measurement for accurate concentration calculation of each gas was optimized. The system proposed in this work provides a simple, miniaturized, and cost-effective solution for multi-gas sensing.

摘要

开发了一种基于中红外光谱吸收的多气体传感系统,用于检测CH、CH和CH。该系统利用了宽带红外光源、中空波导(HWG)吸收池和可调谐法布里-珀罗(FP)探测器。CH、CH和CH的检测限分别为7.33 ppm、2.13 ppm和8.09 ppm。对于多气体测量,采用支持向量机(SVM)算法模型来计算各组分的浓度。CH、CH和CH的预测均方根误差(RMSEP)值分别为15.91 ppm(1.26%)、1.64 ppm(0.57%)和6.95 ppm(0.55%)。实现了混合气体受激吸收光谱的生成,并优化了用于准确计算各气体浓度的测量样本选择。本文提出的系统为多气体传感提供了一种简单、小型化且经济高效的解决方案。

https://cdn.ncbi.nlm.nih.gov/pmc/blobs/75cd/11902781/063a80dba6f6/sensors-25-01427-g001.jpg

文献AI研究员

20分钟写一篇综述,助力文献阅读效率提升50倍。

立即体验

用中文搜PubMed

大模型驱动的PubMed中文搜索引擎

马上搜索

文档翻译

学术文献翻译模型,支持多种主流文档格式。

立即体验