Suppr超能文献

中国与其他二十国集团国家缺血性心脏病负担的趋势与预测:基于2021年全球疾病负担数据库的比较研究

Trends and Projections of Burden of Ischemic Heart Disease in China Versus Other G20 Countries: A Comparative Study Based on the 2021 Global Burden of Disease Database.

作者信息

Zhang Yi, Li Hui, Chu JingHan, Ye ShuaiShuai, Xiao Chun, Zhang BuChun

机构信息

Department of Cardiology, The First Affiliated Hospital of USTC, Division of Life Sciences and Medicine, University of Science and Technology of China, Anhui Hefei, 230001, China.

Graduate School, Wannan Medical College, Anhui Wuhu, 241002, China.

出版信息

Glob Heart. 2025 Apr 3;20(1):37. doi: 10.5334/gh.1424. eCollection 2025.

Abstract

OBJECTIVE

This study aims to analyse the burden of ischemic heart disease (IHD) in China and other G20 countries from 1990-2021 and predict the burden for the next decade.

METHODS

Using data from the Global Burden of Disease (GBD) 2021 study, we evaluated the age-standardised rates (ASRs) of incidence, prevalence, mortality and disability-adjusted life years (DALYs) by estimated annual percentage change (EAPC). The Bayesian age-period-cohort (BAPC) model was used to forecast the incidence, mortality and DALY rates of IHD in China from 2021-2040.

RESULTS

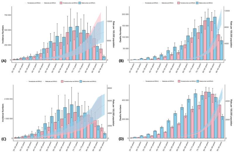
The ASRs of incidence, mortality and DALYs of IHD in China increased with EAPCs of 0.66 (95% CI: 0.50, 0.82), 0.97 (95% CI: 0.63, 1.31) and 0.51 (95% CI: 0.24, 0.78), respectively. Compared with other G20 countries, China was ranked 14th for the ASR of incidence in 1990 and then rose to 7th in 2021. The ASR of prevalence for IHD in China jumped from 8th in 1990 to 5th in 2021, and both the ASR of mortality and DALYs for IHD in China ranked 7th in 2021. The top five risk factors affecting mortality in China in 2021 were high systolic blood pressure, dietary risk, air pollution, high LDL cholesterol and tobacco. Over the next 20 years, the ASR of incidence, mortality and DALYs for IHD will increase continuously in males.

CONCLUSION

The burden of IHD is expected to increase steadily in China, highlighting the urgency for early monitoring and preventative strategies, particularly focusing on the elderly and male populations.

摘要

目的

本研究旨在分析1990年至2021年中国及其他二十国集团(G20)国家缺血性心脏病(IHD)的负担,并预测未来十年的负担情况。

方法

利用全球疾病负担(GBD)2021研究的数据,我们通过估计年百分比变化(EAPC)评估了发病率、患病率、死亡率和伤残调整生命年(DALY)的年龄标准化率(ASR)。采用贝叶斯年龄-时期-队列(BAPC)模型预测2021年至2040年中国IHD的发病率、死亡率和DALY率。

结果

中国IHD的发病率、死亡率和DALY的ASR呈上升趋势,EAPC分别为0.66(95%CI:0.50,0.82)、0.97(95%CI:0.63,1.31)和0.51(95%CI:0.24,0.78)。与其他G20国家相比,中国1990年发病率的ASR排名第14位,2021年升至第7位。中国IHD患病率的ASR从1990年的第8位跃升至2021年的第5位,2021年IHD死亡率和DALY的ASR均排名第7位。2021年影响中国死亡率的前五大风险因素是收缩压高、饮食风险、空气污染、低密度脂蛋白胆固醇高和烟草。在接下来的20年里,男性IHD的发病率、死亡率和DALY的ASR将持续上升。

结论

预计中国IHD的负担将稳步增加,这凸显了早期监测和预防策略的紧迫性,尤其应关注老年人群体和男性人群。

https://cdn.ncbi.nlm.nih.gov/pmc/blobs/319b/11967484/d3bf9afc7302/gh-20-1-1424-g1.jpg

文献AI研究员

20分钟写一篇综述,助力文献阅读效率提升50倍。

立即体验

用中文搜PubMed

大模型驱动的PubMed中文搜索引擎

马上搜索

文档翻译

学术文献翻译模型,支持多种主流文档格式。

立即体验