Suppr超能文献

当代巴西队列中晚期HIV疾病患者的死亡预测因素。

Predictors of mortality among individuals with advanced HIV disease in a contemporary Brazilian cohort.

作者信息

Reis Nicole, Sued Omar, Vieceli Tarsila, Falci Diego R, Silva Larissa R, Fonseca Pedro M, Soares Renata B A, Godoy Cassia S M, Melo Marineide G, Hatem Nayla A, Castelo Ana C G, Perez Freddy, Pasqualotto Alessandro C

机构信息

Federal University of Health Sciences of Porto Alegre Porto Alegre Brazil Federal University of Health Sciences of Porto Alegre, Porto Alegre, Brazil.

Pan American Health Organization Washington, DC United States of America Pan American Health Organization, Washington, DC, United States of America.

出版信息

Rev Panam Salud Publica. 2025 Apr 18;49:e36. doi: 10.26633/RPSP.2025.36. eCollection 2025.

Abstract

OBJECTIVE

To identify clinical characteristics and risk factors associated with mortality, with a focus on opportunistic infections (OIs), in patients with advanced HIV in Brazil.

METHODS

A prospective cohort study was conducted in five Brazilian tertiary hospitals, including 419 adults with advanced HIV. Baseline demographic and clinical data were collected during hospital admission, and participants were screened for tuberculosis, cryptococcosis, and histoplasmosis using rapid diagnostic tests. Participants were followed for 90 days to assess mortality, with causes of death classified using the Coding of Death in HIV (CoDe) protocol. Statistical analysis identified the variables associated with mortality.

RESULTS

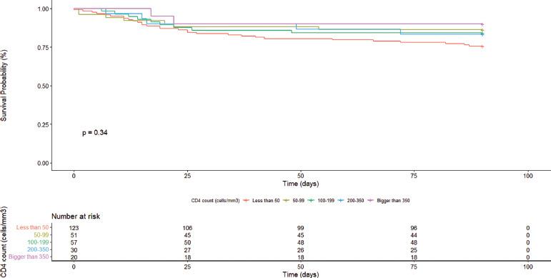
The median CD4 count was 66 cells/mm³, and the median HIV viral load was 104 887 copies/mL. After 90 days, 18.1% of participants had died. ART-naive status, mental confusion, anemia, and elevated creatinine levels were strongly associated with mortality. OIs were diagnosed in 45.6% of participants, with severe histoplasmosis and cryptococcal meningitis significantly increasing the risk of mortality. Social determinants, such as sex, race, gender, and education level, did not have a significant impact on mortality, but socio-economic factors influenced health care access.

CONCLUSION

Early HIV diagnosis and continuous ART are essential to reduce mortality. Public health strategies should prioritize improving HIV testing, treatment adherence, and addressing social disparities to mitigate health care inequalities.

摘要

目的

确定巴西晚期HIV患者的临床特征及与死亡率相关的危险因素,重点关注机会性感染(OI)。

方法

在巴西五家三级医院开展了一项前瞻性队列研究,纳入419例晚期HIV成人患者。入院时收集基线人口统计学和临床数据,使用快速诊断检测对参与者进行结核病、隐球菌病和组织胞浆菌病筛查。对参与者随访90天以评估死亡率,使用HIV死亡编码(CoDe)方案对死亡原因进行分类。统计分析确定与死亡率相关的变量。

结果

CD4细胞计数中位数为66个/立方毫米,HIV病毒载量中位数为104887拷贝/毫升。90天后,18.1%的参与者死亡。未接受抗逆转录病毒治疗(ART)、精神错乱、贫血和肌酐水平升高与死亡率密切相关。45.6%的参与者被诊断为机会性感染,严重组织胞浆菌病和隐球菌性脑膜炎显著增加死亡风险。性别、种族、性别和教育水平等社会决定因素对死亡率没有显著影响,但社会经济因素影响医疗保健的可及性。

结论

早期HIV诊断和持续ART对于降低死亡率至关重要。公共卫生策略应优先改善HIV检测、治疗依从性,并解决社会差异以减轻医疗保健不平等问题。

https://cdn.ncbi.nlm.nih.gov/pmc/blobs/df75/12007386/2d9f16002d3b/rpsp-49-e36-Figure1.jpg

相似文献

1
Predictors of mortality among individuals with advanced HIV disease in a contemporary Brazilian cohort.
Rev Panam Salud Publica. 2025 Apr 18;49:e36. doi: 10.26633/RPSP.2025.36. eCollection 2025.
6
Addressing advanced HIV disease and mortality in global HIV programming.
AIDS Res Ther. 2020 Jul 10;17(1):40. doi: 10.1186/s12981-020-00296-x.

本文引用的文献

1
Mortality Among HIV-Infected Adults on Antiretroviral Therapy in Southern Uganda.
J Acquir Immune Defic Syndr. 2024 Mar 1;95(3):268-274. doi: 10.1097/QAI.0000000000003330.
4
Adherence to Antiretroviral Therapy in People Living with HIV/AIDS: A Cross-Sectional Study.
AIDS Patient Care STDS. 2022 Jul;36(7):278-284. doi: 10.1089/apc.2022.0056.
5
Analysis of the trend of mortality from HIV/AIDS according to sociodemographic characteristics in Brazil, 2000 to 2018.
Cien Saude Colet. 2022 Mar;27(3):895-908. doi: 10.1590/1413-81232022273.00432021. Epub 2021 Mar 3.
7
Incidence of HIV in Sub-Saharan Africa, 2000-2015: The Interplay Between Social Determinants and Behavioral Risk Factors.
AIDS Behav. 2021 Nov;25(Suppl 2):145-154. doi: 10.1007/s10461-021-03279-9. Epub 2021 Jun 5.

文献AI研究员

20分钟写一篇综述,助力文献阅读效率提升50倍。

立即体验

用中文搜PubMed

大模型驱动的PubMed中文搜索引擎

马上搜索

文档翻译

学术文献翻译模型,支持多种主流文档格式。

立即体验