Kawamura Aoi, Kadotani Hiroshi, Suzuki Masahiro, Uchiyama Makoto, Yamada Naoto, Kuriyama Kenichi
Department of Psychiatry, Shiga University of Medical Science, Otsu, Japan.
Department of Sleep-Wake Disorders, National Center of Neurology and Psychiatry, National Institute of Mental Health, Tokyo, Japan.
Sleep Breath. 2025 Apr 21;29(2):165. doi: 10.1007/s11325-025-03329-9.
Decreased delta and increased alpha wave activity during sleep may be specific pathophysiological features of major depressive disorder; however, their usefulness as biomarkers remains unclear. We examined the use of mean alpha and delta wave power value indices during sleep to identify major depressive disorder using a portable electroencephalography device.
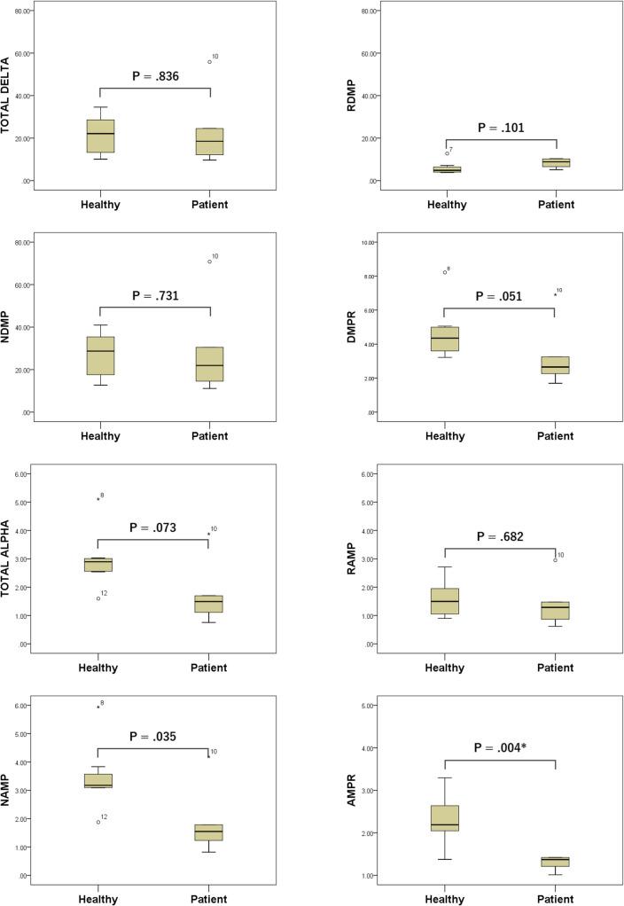
We compared the mean alpha and delta wave power value indices of six unmedicated patients with major depressive disorder and seven age- and sex-matched healthy controls using a portable electroencephalography device in this case-controlled study.
The ratio of the mean alpha power values for the non-rapid and rapid eye movement periods was significantly lower in the major depressive disorder group (1.3 ± 0.2) than in the healthy group (2.3 ± 0.6; P = 0.004). The ratio of the mean delta power values for the non-rapid eye movement and rapid eye movement periods did not differ between groups but negatively correlated significantly with the Hamilton Rating Scale for Depression score (r = -0.784, P = 0.002). The area under the receiver operating characteristic curve (95% confidence interval) of the mean alpha power ratio for non-rapid eye movement and rapid eye movement periods for distinguishing the two groups was 0.93 (0.78-1.00), and both sensitivity and specificity exceeded 85% at a cut-off value ≤ 1.71.
The alpha- and delta-related power value indices may capture different aspects of major depressive disorder pathology.
睡眠期间δ波活动减少和α波活动增加可能是重度抑郁症的特定病理生理特征;然而,它们作为生物标志物的效用仍不明确。我们使用便携式脑电图设备检查了睡眠期间平均α波和δ波功率值指数用于识别重度抑郁症的情况。
在这项病例对照研究中,我们使用便携式脑电图设备比较了6名未用药的重度抑郁症患者和7名年龄及性别匹配的健康对照者的平均α波和δ波功率值指数。
重度抑郁症组非快速眼动期和快速眼动期平均α波功率值的比值(1.3±0.2)显著低于健康组(2.3±0.6;P = 0.004)。非快速眼动期和快速眼动期平均δ波功率值的比值在两组之间没有差异,但与汉密尔顿抑郁量表评分呈显著负相关(r = -0.784,P = 0.002)。用于区分两组的非快速眼动期和快速眼动期平均α波功率比值的受试者工作特征曲线下面积(95%置信区间)为0.93(0.78 - 1.00),在临界值≤1.71时,敏感性和特异性均超过85%。
与α波和δ波相关的功率值指数可能反映了重度抑郁症病理的不同方面。