Suppr超能文献

菠萝[(L.)梅里尔]植物微生物组的耐旱能力。

Drought Tolerant Capability of Pineapple [ (L.) Merr] Plant Microbiome.

作者信息

Putrie Rahayu Fitriani Wangsa, Aryantha I Nyoman Pugeg, Antonius Sarjiya

机构信息

Research Center for Applied Microbiology, National Research and Innovation Agency. JL. Raya Bogor KM. 46 Cibinong 16911, West Java, Indonesia.

School of Life Sciences and Technology, Bandung Institute of Technology. JL Ganesa 10, Bandung 4013, West Java, Indonesia.

出版信息

Trop Life Sci Res. 2025 Mar;36(1):57-75. doi: 10.21315/tlsr2025.36.1.4. Epub 2025 Mar 30.

Abstract

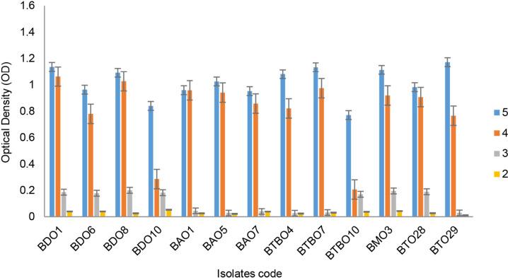
The microbiomes of Indonesian pineapple plants cover drought-resistant microorganisms that have not yet been studied. Therefore, this research aims to analyse the pineapple's endophytic and rhizobacteria capability to survive and support the plant in drought. The screening used (PEG) 6000 with specific osmotic pressures as a form of stress simulation. The isolates were further tested for their production of exopolysaccharides (EPS) and growth hormones (IAA), survival at high temperatures and salinity and other vital, drought-tolerant factors. Based on PEG 6000 analysis with certain osmotic pressure, about 13 isolates could survive at -0.73 MPa. Some isolates can produce EPS up to 89.23 mg/mL at -0.73 MPa, survive at 10% salinity, at a temperature of 50°C, pH 4 and produce IAA up to 7.5 ppm on medium. Most isolates can improve corn seedlings' growth quality and produce ACC deaminase and catalase enzymes. Isolate BDO 8 and BAO 5 showed more constant results compared with others. Based on the 16S rRNA gene, these isolates were identified as strain ATCC 14579T.112 and strain WHX1 with 99.91% and 100% sequence similarities, respectively. These findings suggest that these isolates could be developed as bioinoculant candidates for use in dry agricultural areas.

摘要

印度尼西亚菠萝植株的微生物群包含尚未被研究的抗旱微生物。因此,本研究旨在分析菠萝内生菌和根际细菌在干旱环境中存活并支持植株的能力。筛选过程使用具有特定渗透压的(聚乙二醇)PEG 6000作为胁迫模拟形式。对分离菌株进一步测试其胞外多糖(EPS)和生长激素(IAA)的产生、在高温和高盐环境下的存活能力以及其他重要的耐旱因素。基于具有特定渗透压的PEG 6000分析,约13株分离菌株能够在-0.73 MPa下存活。一些分离菌株在-0.73 MPa下可产生高达89.23 mg/mL的EPS,能在10%盐度、50°C温度、pH 4的环境下存活,并在培养基上产生高达7.5 ppm的IAA。大多数分离菌株能够改善玉米幼苗的生长质量,并产生ACC脱氨酶和过氧化氢酶。与其他菌株相比,分离菌株BDO 8和BAO 5表现出更稳定的结果。基于16S rRNA基因,这些分离菌株分别被鉴定为与菌株ATCC 14579T.112和菌株WHX1具有99.91%和100%序列相似性的菌株。这些发现表明,这些分离菌株可开发为用于干旱农业地区的生物接种剂候选菌株。

https://cdn.ncbi.nlm.nih.gov/pmc/blobs/c0a0/12017287/fa873f2bf607/TLSR_36-1-57-g001.jpg

文献AI研究员

20分钟写一篇综述,助力文献阅读效率提升50倍。

立即体验

用中文搜PubMed

大模型驱动的PubMed中文搜索引擎

马上搜索

文档翻译

学术文献翻译模型,支持多种主流文档格式。

立即体验