Suppr超能文献

基于心电图成像的T波交替测量参考。

Reference for Electrocardiographic Imaging-Based T-Wave Alternans Estimation.

作者信息

Sánchez-Carballo Estela, Melgarejo-Meseguer Francisco Manuel, Vijayakumar Ramya, Sánchez-Muñoz Juan José, García-Alberola Arcadi, Rudy Yoram, Rojo-Álvarez José Luis

机构信息

Department of Signal Theory and Communications, Telematics, and Computing, Universidad Rey Juan Carlos, Fuenlabrada, 28942 Madrid, Spain.

Cardiac Bioelectricity and Arrhythmia Center, Washington University in St. Louis, St. Louis, MO 63130, USA.

出版信息

IEEE Access. 2024;12:118510-118524. doi: 10.1109/access.2024.3447114. Epub 2024 Aug 21.

Abstract

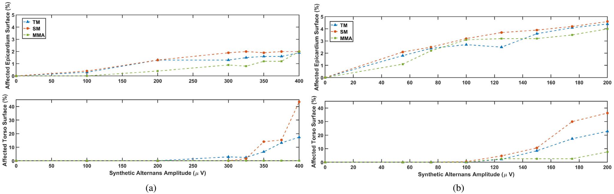
Sudden cardiac death causes multiple deaths annually, and T-wave alternans are a reliable predictor of this fatal event. Detecting alternans is crucial for reducing disease incidence, and electrocardiographic imaging is a promising tool, providing spatial-temporal insights. The absence of references and segmentation methods specific to these data may complicate progress in the field. Therefore, this work aimed to develop a reference for evaluating estimation methods. Initially, a novel T-wave segmentation procedure specific to these data was introduced and compared with a commonly used method. Subsequently, a reference for assessing alternans estimation methods was created by integrating alternans into epicardial signals through a spatial-temporal Gaussian function. Finally, a bootstrap-based classifier for detecting alternans was developed. Results underscored the superiority of the novel T-wave segmentation procedure, with the lowest 95% confidence interval being [ ], indicating significant disparities between the two segmentation methodologies. Furthermore, the generated reference demonstrated the distinguishability of T-wave alternans with an amplitude of approximately from noise. Additionally, the classifier exhibited consistency with previous findings, demonstrating its ability to detect alternans with amplitudes around . In conclusion, this study provides a spatial-temporal reference for proper evaluation of estimation methods, contributing to establishing a gold standard.

摘要

心脏性猝死每年导致多人死亡,而T波交替是这一致命事件的可靠预测指标。检测交替对于降低疾病发病率至关重要,心电图成像作为一种有前景的工具,能提供时空洞察。缺乏针对这些数据的参考标准和分割方法可能会使该领域的进展复杂化。因此,这项工作旨在开发一种用于评估估计方法的参考标准。首先,引入了一种针对这些数据的新型T波分割程序,并与常用方法进行比较。随后,通过时空高斯函数将交替整合到心外膜信号中,创建了一个用于评估交替估计方法的参考标准。最后,开发了一种基于自助法的交替检测分类器。结果强调了新型T波分割程序的优越性,其最低95%置信区间为[ ],表明两种分割方法之间存在显著差异。此外,生成的参考标准证明了幅度约为 的T波交替与噪声的可区分性。此外,该分类器与先前的研究结果一致,证明了其检测幅度约为 的交替的能力。总之,本研究提供了一个时空参考标准,用于正确评估估计方法,有助于建立金标准。

https://cdn.ncbi.nlm.nih.gov/pmc/blobs/3744/12040424/536f70f88836/nihms-2020331-f0008.jpg

文献AI研究员

20分钟写一篇综述,助力文献阅读效率提升50倍。

立即体验

用中文搜PubMed

大模型驱动的PubMed中文搜索引擎

马上搜索

文档翻译

学术文献翻译模型,支持多种主流文档格式。

立即体验