Zhang Ge, Li Kunpeng, Shi Huawei, Chen Chen, Yuan Chengfang
Yellow River Institute of Hydraulic Research, Yellow River Water Conservancy Commission, Zhengzhou 450003, China.
Key Laboratory of Lower Yellow River Channel and Estuary Regulation, Ministry of Water Resources, Zhengzhou 450003, China.
Materials (Basel). 2025 Apr 17;18(8):1845. doi: 10.3390/ma18081845.
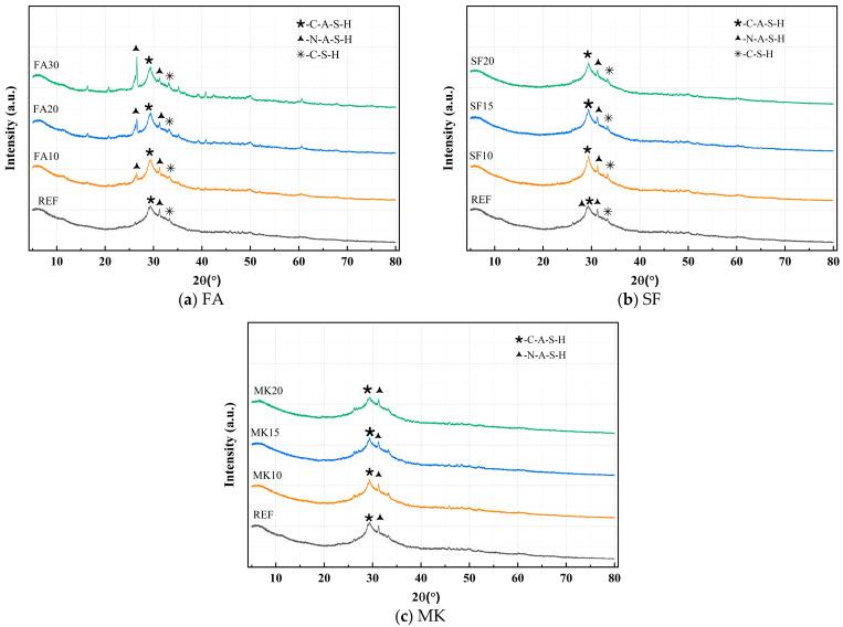
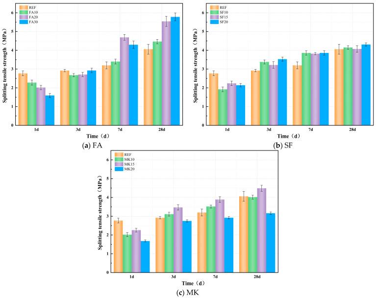
The incorporation of mineral admixtures plays a crucial role in enhancing the performance and sustainability of geopolymer systems. This study evaluates the influence of fly ash (FA), silica fume (SF), and metakaolin (MK) as typical mineral admixtures on slag-Yellow River sediment geopolymer eco-cementitious materials. The impact of varying replacement ratios of these admixtures for slag on setting time, workability, reaction kinetics, and strength development were thoroughly investigated. To understand the underlying mechanisms, microstructural analysis was conducted using thermogravimetric-differential thermal analysis (TG-DTA), X-ray diffraction (XRD), scanning electron microscopy-energy dispersive spectroscopy (SEM-EDS), and mercury intrusion porosimetry (MIP). The results indicate that the incorporation of FA, SF, and metakaolin delayed the initial reaction, prolonged the induction period, and reduced the acceleration rate. These effects hindered early strength development. At 30% FA content, the matrix exhibited excellent flowability and sustained heat release. The 28-day splitting tensile strength increased by 42.40%, while compressive strength decreased by 2.85%. In contrast, 20% SF significantly improved compressive strength, increasing the 28-day compressive and splitting tensile strengths by 11.19% and 6.16%, respectively. At 15% metakaolin, the strength improvement was intermediate, with 28-day compressive and splitting tensile strengths increasing by 3.55% and 10.59%, respectively. However, dosages exceeding 20% for SF and metakaolin significantly reduced workability. The incorporation of FA, SF, and metakaolin did not interfere with the slag's alkali-activation reaction. The newly formed N-A-S-H and C-S-H gels integrated with the original C-A-S-H gels, optimizing the pore structure and reducing pores larger than 1 µm, enhancing the matrix compactness and microstructural reinforcement. This study provides practical guidance for optimizing the use of sustainable mineral admixtures in geopolymer systems.
矿物掺合料的掺入在提高地质聚合物体系的性能和可持续性方面起着至关重要的作用。本研究评估了粉煤灰(FA)、硅灰(SF)和偏高岭土(MK)作为典型矿物掺合料对矿渣-黄河泥沙地质聚合物生态胶凝材料的影响。深入研究了这些掺合料对矿渣不同替代率在凝结时间、工作性、反应动力学和强度发展方面的影响。为了解其潜在机制,采用热重-差热分析(TG-DTA)、X射线衍射(XRD)、扫描电子显微镜-能谱分析(SEM-EDS)和压汞法(MIP)进行了微观结构分析。结果表明,掺入FA、SF和偏高岭土会延迟初始反应,延长诱导期,并降低加速速率。这些影响阻碍了早期强度发展。当FA含量为30%时,基体表现出优异的流动性和持续放热。28天劈裂抗拉强度提高了42.40%,而抗压强度降低了2.85%。相比之下,20%的SF显著提高了抗压强度,28天抗压强度和劈裂抗拉强度分别提高了11.19%和6.16%。当偏高岭土含量为15%时,强度提高处于中等水平,28天抗压强度和劈裂抗拉强度分别提高了3.55%和10.59%。然而,SF和偏高岭土用量超过20%会显著降低工作性。掺入FA、SF和偏高岭土不会干扰矿渣的碱激活反应。新形成的N-A-S-H和C-S-H凝胶与原始的C-A-S-H凝胶整合,优化了孔隙结构,减少了大于1μm的孔隙,增强了基体致密性和微观结构强化。本研究为优化地质聚合物体系中可持续矿物掺合料的使用提供了实际指导。