Javed Mohsin, Shah Afzal, Shah Iltaf
Department of Chemistry, Quaid-i-Azam University, Islamabad 45320, Pakistan.
Department of Chemistry, College of Science, United Arab Emirates University, P.O. Box 15551, Al Ain, United Arab Emirates.
ACS Omega. 2025 Apr 23;10(17):17529-17542. doi: 10.1021/acsomega.4c11218. eCollection 2025 May 6.
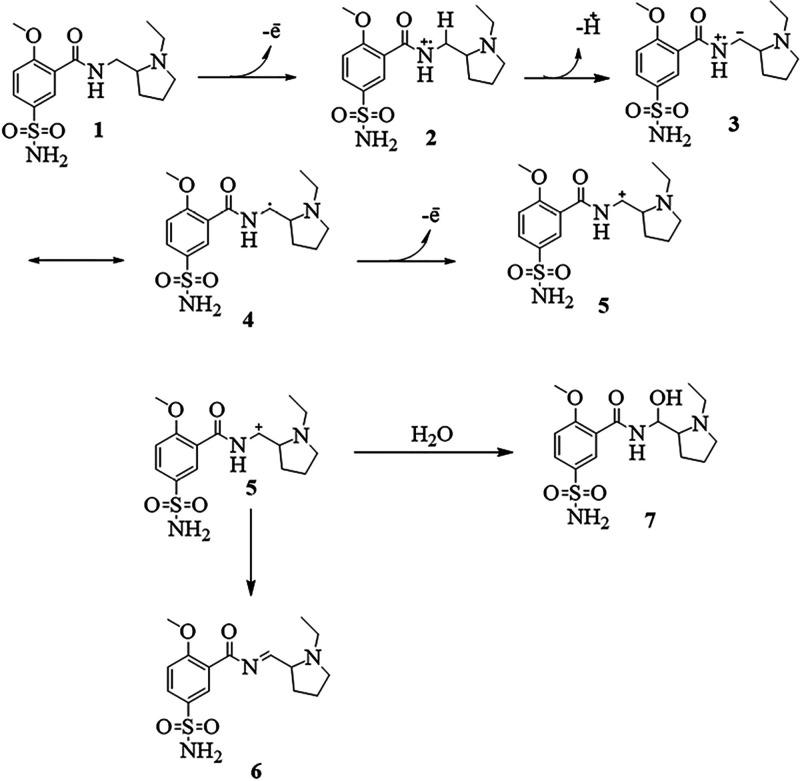
There is increasing apprehension regarding the harmful impacts of synthetic drugs, particularly the antipsychotic levosulpiride. Consequently, it is both an environmental and a social responsibility to create effective sensors and materials for the early detection and removal of this drug before consumption of contaminated water. The detection goal is achieved by the development of a highly sensitive and selective sensing platform, while the removal objective is achieved by the polyacrylamide hydrogel. The present study introduces a novel combination of advanced materials and green chemistry concepts for the development of an electrode modifier (functionalized MWCNTs) and an adsorbent (polyacrylamide hydrogel). Unlike conventional methods, where drug molecules slowly diffuse to the electrode surface, our technique for sensor preparation directly immobilizes these molecules on the electrode, leading to robust electrochemical signals and establishing a highly sensitive detection platform with a significantly reduced limit of detection (0.7 nM). Furthermore, while traditional adsorption processes may take hours or even days, our unique adsorbent for levosulpiride demonstrates effective removal in just 45 min, as confirmed by our experimental findings. Results revealed that adsorption occurred in accordance with the Langmuir model, while the kinetics of adsorption adhered to pseudo-second order kinetics. Thermodynamic parameters such as negative Δ and positive Δ revealed the spontaneous nature of the entropy-driven process of adsorption.
人们对合成药物,尤其是抗精神病药物左舒必利的有害影响越来越担忧。因此,开发有效的传感器和材料,以便在受污染的水被饮用之前对这种药物进行早期检测和去除,既是一项环境责任,也是一项社会责任。通过开发高度灵敏且选择性高的传感平台实现检测目标,而通过聚丙烯酰胺水凝胶实现去除目标。本研究引入了先进材料与绿色化学概念的新型组合,用于开发电极修饰剂(功能化多壁碳纳米管)和吸附剂(聚丙烯酰胺水凝胶)。与传统方法不同,在传统方法中药物分子缓慢扩散到电极表面,我们的传感器制备技术直接将这些分子固定在电极上,从而产生强大的电化学信号,并建立了一个检测限显著降低(0.7 nM)的高灵敏度检测平台。此外,虽然传统吸附过程可能需要数小时甚至数天,但我们独特的左舒必利吸附剂在45分钟内就显示出有效去除效果,我们的实验结果证实了这一点。结果表明,吸附符合朗缪尔模型,而吸附动力学符合伪二级动力学。诸如负的Δ和正的Δ等热力学参数揭示了熵驱动吸附过程的自发性质。