Suppr超能文献

碳纳米管和近红外光波对结肠癌细胞和肝癌细胞的选择性毒性机制

Selective Toxicity Mechanisms of Carbon Nanotubes and Near-Infrared Light Wave on the Colon and Hepatoma Cancer Cells.

作者信息

Lotfollahzadeh Farshad, Nobari Nasim, Ghanbary Fatemeh, Hooshyar Hossein

机构信息

Department of Physic, Mahabad Branch, Islamic Azad University, Mahabad, Iran.

Department of Chemistry, Mahabad Branch, Islamic Azad University, Mahabad, Iran.

出版信息

Iran J Pharm Res. 2024 Dec 23;23(1):e157296. doi: 10.5812/ijpr-157296. eCollection 2024 Jan-Dec.

Abstract

BACKGROUND

Cancer is a devastating disease with varying mortality rates and severe treatment side effects. Researchers are exploring alternative treatments that target cancer cells with high selectivity and minimal side effects. Photothermal therapy has shown promise as one such treatment option.

OBJECTIVES

Single-walled carbon nanotubes (SWCNTs) and multi-walled carbon nanotubes (MWCNTs) can penetrate cellular membranes and convert near-infrared light into heat for photothermal therapy (PTT).

METHODS

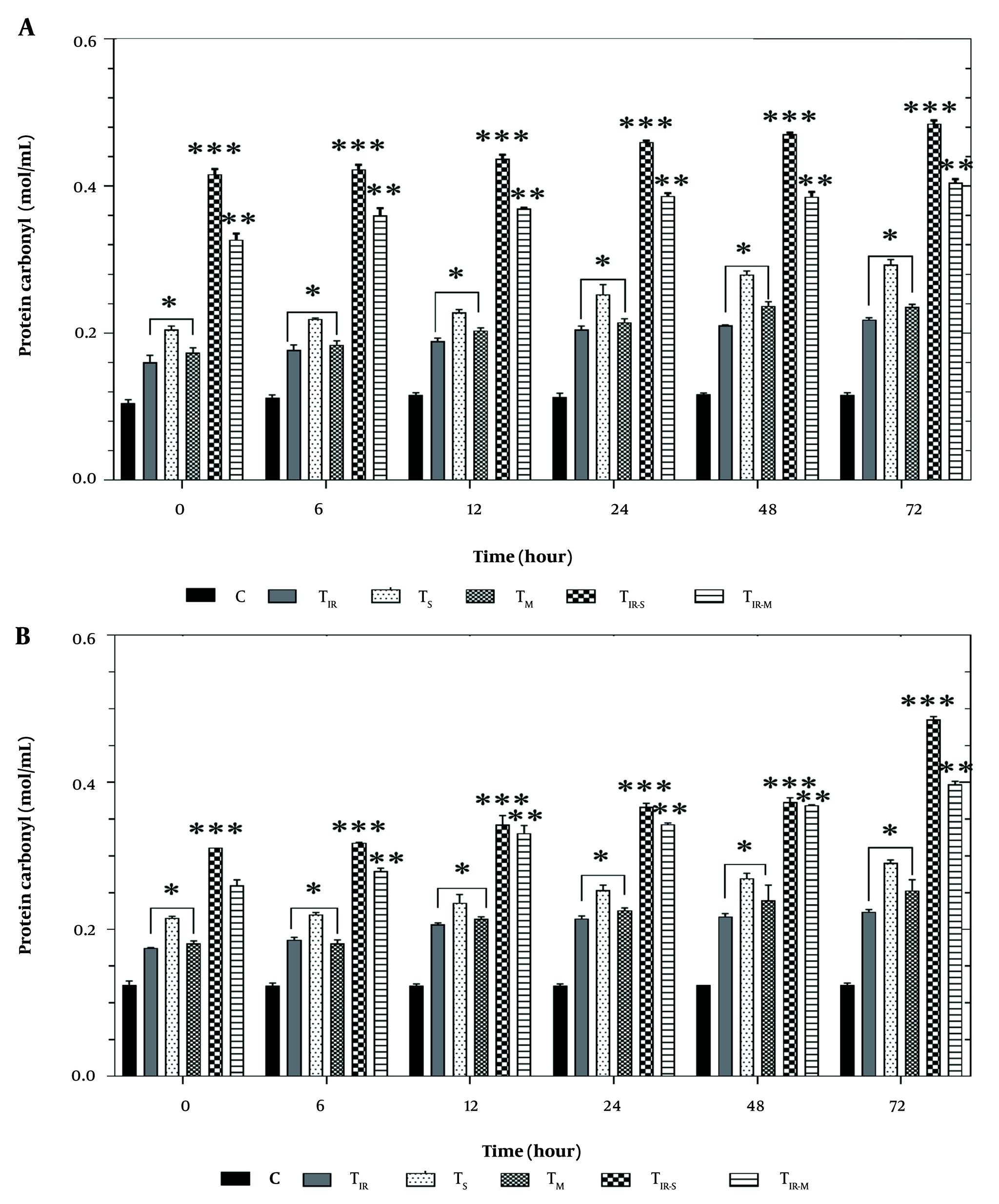
In a recent study, carbon nanotubes (CNTs) were used in combination with PTT to treat HT29 and PCL/PRF/5 cancerous cells for different durations (6, 12, 24, 48, and 72 hours). The cytotoxicity of each treatment was evaluated through MTT assay, reactive oxygen species (ROS) analysis, lipid peroxidation, lysosomal membrane integrity, and protein carbonyl analysis.

RESULTS

The study found that SWCNTs, MWCNTs, and PTT each individually had a significant cytotoxic effect on cancer cells. However, when used together, they were even more effective in destroying cancer cells. Combining SWCNTs with PTT resulted in the highest level of cytotoxicity.

CONCLUSIONS

These findings suggest that using CNTs, especially SWCNTs, in combination with PTT shows promise for treating cancer.

摘要

背景

癌症是一种具有不同死亡率和严重治疗副作用的毁灭性疾病。研究人员正在探索以高选择性和最小副作用靶向癌细胞的替代治疗方法。光热疗法已显示出作为一种此类治疗选择的前景。

目的

单壁碳纳米管(SWCNTs)和多壁碳纳米管(MWCNTs)可以穿透细胞膜并将近红外光转化为热量用于光热疗法(PTT)。

方法

在最近的一项研究中,碳纳米管(CNTs)与PTT联合用于治疗HT29和PCL/PRF/5癌细胞不同时长(6、12、24、48和72小时)。通过MTT法、活性氧(ROS)分析、脂质过氧化、溶酶体膜完整性和蛋白质羰基分析评估每种治疗的细胞毒性。

结果

研究发现,SWCNTs、MWCNTs和PTT各自对癌细胞均有显著的细胞毒性作用。然而,当它们一起使用时,在破坏癌细胞方面甚至更有效。将SWCNTs与PTT联合使用导致最高水平的细胞毒性。

结论

这些发现表明,将CNTs,尤其是SWCNTs与PTT联合使用在治疗癌症方面显示出前景。

https://cdn.ncbi.nlm.nih.gov/pmc/blobs/2e7a/12070309/6df16323136b/ijpr-23-1-157296-i001.jpg

文献AI研究员

20分钟写一篇综述,助力文献阅读效率提升50倍。

立即体验

用中文搜PubMed

大模型驱动的PubMed中文搜索引擎

马上搜索

文档翻译

学术文献翻译模型,支持多种主流文档格式。

立即体验