Suppr超能文献

硫酸黏菌素与多黏菌素B治疗耐碳青霉烯类药物引起的感染:一项多中心回顾性队列研究

Colistin sulfate versus polymyxin B for the treatment of infections caused by carbapenem-resistant : a multicenter retrospective cohort study.

作者信息

Liu Hongmei, Tang Li, Zheng Liang, Fu Yuanyuan, Qian Mingjiang, Ouyang Canghong, Tao Na, Ou Shuiping, He Yong

机构信息

Department of Pharmacy, The Second Affiliated Hospital of Zunyi Medical University, Zunyi, Guizhou, China.

College of Pharmacy, Zunyi Medical University, Zunyi, Guizhou, China.

出版信息

Front Pharmacol. 2025 May 14;16:1540925. doi: 10.3389/fphar.2025.1540925. eCollection 2025.

Abstract

BACKGROUND

Polymyxins are the last line of defense against carbapenem-resistant Gram-negative bacilli infections. However, the efficacy of polymyxins against the independent risk factor of bacterial species is unknown. We aimed to compare the efficacy and safety of colistin sulfate (CS) and polymyxin B (PMB) for carbapenem-resistant (CRAB) infections.

METHODS

We carried out a retrospective multicenter study that included patients with CRAB infections at three tertiary hospitals in Guizhou province, China, from 1 Jan 2020 to 30 Jun 2024. Patients were grouped into the CS group and PMB group. The main outcomes were all-cause 28-day mortality and clinical failure rate. The secondary outcomes included the microbiological cure rate, duration of CS or PMB treatment, and length of hospital stay. Safety was evaluated based on the rates of adverse drug reactions.

RESULTS

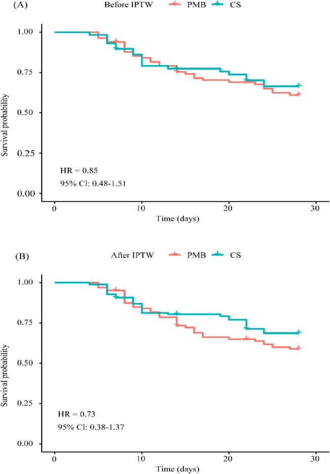
A total of 140 patients were included, with 58 patients in the CS group and 82 patients in the PMB group. All-cause 28-day mortality was 32.8% in the CS group and 37.8% in the PMB group (adjusted HR = 0.73, 95% CI 0.38-1.37, = 0.316), and the clinical failure rate was 48.3% and 56.1% (adjusted OR = 0.64, 95% CI 0.29-1.39, = 0.262) in the CS group and PMB group, respectively. There were no significant differences in any of the secondary outcomes. The incidence of acute kidney injury (AKI) in the CS group was lower than that in the PMB group (5.2% vs. 19.5%). Compared to the PMB group, the adjusted odds ratio of AKI was 0.24 (95% Cl 0.06-0.96, = 0.044) for the CS group.

CONCLUSION

Our results suggest that CS is similarly effective to PMB for CRAB infections but it is associated with fewer safety concerns than PMB. This clinical research provides significant information on the efficacy and safety of CS and PMB for CRAB infections.

摘要

背景

多黏菌素是对抗耐碳青霉烯革兰氏阴性杆菌感染的最后一道防线。然而,多黏菌素针对细菌种类独立危险因素的疗效尚不清楚。我们旨在比较硫酸黏菌素(CS)和多黏菌素B(PMB)治疗耐碳青霉烯鲍曼不动杆菌(CRAB)感染的疗效和安全性。

方法

我们进行了一项回顾性多中心研究,纳入了2020年1月1日至2024年6月30日期间中国贵州省三家三级医院的CRAB感染患者。患者被分为CS组和PMB组。主要结局为全因28天死亡率和临床失败率。次要结局包括微生物清除率、CS或PMB治疗持续时间以及住院时间。基于药物不良反应发生率评估安全性。

结果

共纳入140例患者,CS组58例,PMB组82例。CS组全因28天死亡率为32.8%,PMB组为37.8%(校正风险比=0.73,95%置信区间0.38 - 1.37,P = 0.316),CS组和PMB组的临床失败率分别为48.3%和56.1%(校正比值比=0.64,95%置信区间0.29 - 1.39,P = 0.262)。次要结局方面均无显著差异。CS组急性肾损伤(AKI)发生率低于PMB组(5.2%对19.5%)。与PMB组相比,CS组AKI的校正比值比为0.24(95%置信区间0.06 - 0.96,P = 0.044)。

结论

我们的结果表明,CS治疗CRAB感染的疗效与PMB相似,但安全性顾虑比PMB少。这项临床研究为CS和PMB治疗CRAB感染的疗效和安全性提供了重要信息。

https://cdn.ncbi.nlm.nih.gov/pmc/blobs/7541/12116560/3a35ef168a0a/fphar-16-1540925-g001.jpg

文献AI研究员

20分钟写一篇综述,助力文献阅读效率提升50倍。

立即体验

用中文搜PubMed

大模型驱动的PubMed中文搜索引擎

马上搜索

文档翻译

学术文献翻译模型,支持多种主流文档格式。

立即体验