Suppr超能文献

一种用于患有脓毒症相关性急性肾损伤的重症监护病房患者的脓毒症相关性谵妄的基于机器学习的预测模型。

A machine learning-based prediction model for sepsis-associated delirium in intensive care unit patients with sepsis-associated acute kidney injury.

作者信息

Yu Shuangjiang, Pan Xuming, Zhang Manyuan, Zhang Jiancheng, Chen Danlei

机构信息

Department of Emergency, The Second Affiliated Hospital of Zhejiang Chinese Medical University, Hangzhou, China.

出版信息

Ren Fail. 2025 Dec;47(1):2514186. doi: 10.1080/0886022X.2025.2514186. Epub 2025 Jun 2.

Abstract

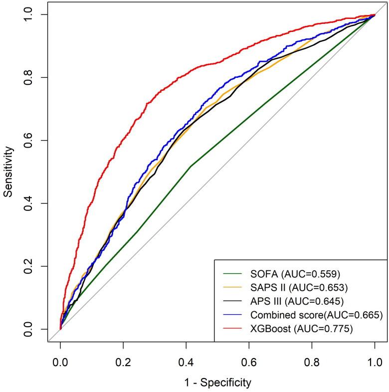
Sepsis-associated acute kidney injury (SA-AKI) patients in the ICU often suffer from sepsis-associated delirium (SAD), which is linked to unfavorable outcomes. This research aimed to develop a machine learning-based model for early SAD prediction in SA-AKI patients. Data was sourced from the Medical Information Mart for Intensive Care IV (MIMIC-IV) and eICU Collaborative Research Database (eICU-CRD). Various models, including logistic regression, extreme gradient boosting (XGBoost), random forest, k-nearest neighbors, support vector machine, decision tree, and naive Bayes, were constructed and evaluated. The XGBoost model emerged as the best, with an internal validation AUROC of 0.775 and an external validation AUROC of 0.687. Unlike traditional delirium assessments, this model enables earlier SAD prediction and is suitable for patients who are hard to assess conventionally.

摘要

重症监护病房(ICU)中患有脓毒症相关性急性肾损伤(SA-AKI)的患者常并发脓毒症相关性谵妄(SAD),这与不良预后相关。本研究旨在开发一种基于机器学习的模型,用于早期预测SA-AKI患者的SAD。数据来源于重症监护医学信息集市IV(MIMIC-IV)和电子ICU协作研究数据库(eICU-CRD)。构建并评估了多种模型,包括逻辑回归、极端梯度提升(XGBoost)、随机森林、k近邻、支持向量机、决策树和朴素贝叶斯。XGBoost模型表现最佳,内部验证的受试者工作特征曲线下面积(AUROC)为0.775,外部验证的AUROC为0.687。与传统的谵妄评估不同,该模型能够更早地预测SAD,适用于传统评估困难的患者。

https://cdn.ncbi.nlm.nih.gov/pmc/blobs/8e5a/12131538/a88bbadaf72e/IRNF_A_2514186_F0001_B.jpg

文献AI研究员

20分钟写一篇综述,助力文献阅读效率提升50倍。

立即体验

用中文搜PubMed

大模型驱动的PubMed中文搜索引擎

马上搜索

文档翻译

学术文献翻译模型,支持多种主流文档格式。

立即体验