Suppr超能文献

糖尿病患者中四肢骨骼肌质量与内脏脂肪面积比值与特定病因死亡率的关联

Association of the Appendicular Skeletal Muscle Mass-to-Visceral Fat Area Ratio with Cause-Specific Mortality in Diabetes.

作者信息

Wei Shuwu, Zhang Jiale, Zheng Huijuan, Jiang Weimin, Yang Jie, Wang Yaoxian, Chen Weihong, Sun Weiwei

机构信息

Beijing University of Chinese Medicine, Beijing, China.

Dongzhimen Hospital, Beijing University of Chinese Medicine, Beijing, China.

出版信息

Calcif Tissue Int. 2025 Jun 14;116(1):85. doi: 10.1007/s00223-025-01389-3.

Abstract

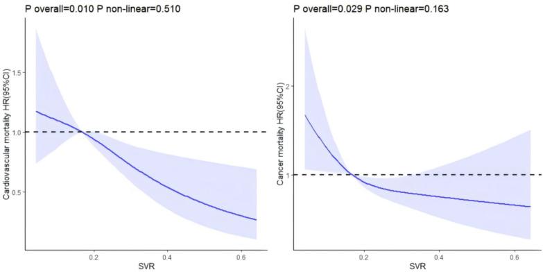
The relationship between muscle mass and visceral fat with mortality risk in diabetes has been extensively studied. This study investigates the association between the appendicular skeletal muscle mass-to-visceral fat area ratio (SVR) and cardiovascular and cancer-related mortality in diabetic patients in the United States. A nationwide cohort study was conducted using NHANES data (2011-2018), including 1439 diabetic patients with dual-energy X-ray absorptiometry (DXA) measurements. Weighted Cox proportional hazards models and restricted cubic splines (RCS) were employed to evaluate the association between SVR and cause-specific mortality rates. Weighted receiver operating characteristic (ROC) curves were used to assess the diagnostic performance of SVR and other conventional indicators in predicting mortality. After adjusting for multiple confounding factors, SVR showed a linear negative association with cardiovascular and cancer-related mortality in diabetes. Each 0.01-unit increase in SVR was associated with a 3% reduction in the risk of cardiovascular death and a 2% reduction in cancer-related death. However, SVR demonstrated weak diagnostic performance for both cardiovascular and cancer mortality, with weighted AUCs of 0.520 and 0.527, respectively, compared to other metrics including BMI, WC, ASM, and VFA. Although SVR was significantly associated with cardiovascular and cancer mortality, its predictive performance was not superior to that of simpler or more established indicators, suggesting that it has limited clinical utility for predicting mortality in diabetic patients.

摘要

肌肉量与内脏脂肪和糖尿病患者死亡风险之间的关系已得到广泛研究。本研究调查了美国糖尿病患者中四肢骨骼肌量与内脏脂肪面积比(SVR)与心血管疾病和癌症相关死亡率之间的关联。利用美国国家健康和营养检查调查(NHANES)数据(2011 - 2018年)进行了一项全国性队列研究,其中包括1439例接受双能X线吸收测定法(DXA)测量的糖尿病患者。采用加权Cox比例风险模型和受限立方样条(RCS)来评估SVR与特定病因死亡率之间的关联。加权受试者工作特征(ROC)曲线用于评估SVR和其他传统指标在预测死亡率方面的诊断性能。在调整多个混杂因素后,SVR与糖尿病患者的心血管疾病和癌症相关死亡率呈线性负相关。SVR每增加0.01个单位,心血管死亡风险降低3%,癌症相关死亡风险降低2%。然而,与包括体重指数(BMI)、腰围(WC)、去脂体重(ASM)和内脏脂肪面积(VFA)等其他指标相比,SVR在预测心血管疾病和癌症死亡率方面的诊断性能较弱,加权曲线下面积(AUC)分别为0.520和0.527。尽管SVR与心血管疾病和癌症死亡率显著相关,但其预测性能并不优于更简单或更成熟的指标,这表明它在预测糖尿病患者死亡率方面的临床应用有限。

https://cdn.ncbi.nlm.nih.gov/pmc/blobs/1bf1/12167329/35451b3bd0ac/223_2025_1389_Fig1_HTML.jpg

文献AI研究员

20分钟写一篇综述,助力文献阅读效率提升50倍。

立即体验

用中文搜PubMed

大模型驱动的PubMed中文搜索引擎

马上搜索

文档翻译

学术文献翻译模型,支持多种主流文档格式。

立即体验