Drăghici-Popa Ana-Maria, Pârvulescu Oana Cristina, Stan Raluca, Brezoiu Ana-Maria
Department of Organic Chemistry, National University of Science and Technology POLITEHNICA Bucharest, 1-7 Gheorghe Polizu St., 011061 Bucharest, Romania.
Department of Chemical and Biochemical Engineering, National University of Science and Technology POLITEHNICA Bucharest, 1-7 Gheorghe Polizu St., 011061 Bucharest, Romania.
Antioxidants (Basel). 2025 Jun 3;14(6):680. doi: 10.3390/antiox14060680.
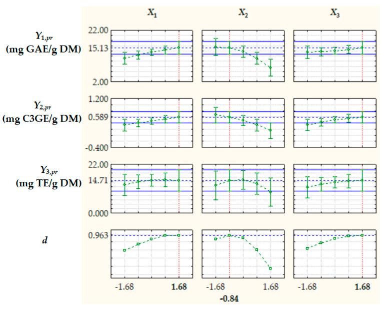
Selecting factors that significantly affect the extraction process and optimizing them are essential to obtain high extraction efficiency. This study aimed at optimizing the ultrasonic-assisted extraction (UAE) of polyphenols from Romanian blackthorn fruits using aqueous solutions of ethanol as green extraction solvents. Six process factors, including solvent/plant material ratio ( = 4.95-15.1 cm/g), ethanol concentration in the extraction solvent ( = 16.4-83.6%), extraction temperature ( = 30-70 °C), pH of the solvent ( = 2-7), amplitude of the ultrasonic probe ( = 30-70%), and extraction time ( = 5-15 min), were screened and optimized based on a Plackett-Burman design (PBD) and a central composite design (CCD). Statistical analysis indicated that , , and significantly affected the process response variables in terms of total phenolic content (), total anthocyanin content (), and antioxidant capacity (). Under optimal conditions ( = 15.1 cm/g, = 33.2%, = 66.8 °C, = 7, = 50%, and = 10 min), the following levels of response variables were experimentally determined: = 14.45 ± 0.718 mg GAE/g DM, = 0.405 ± 0.057 mg C3GE/g DM, and = 16.75 ± 1.144 mg TE/g DM. Six phenolic compounds were identified in the extract obtained at optimal levels of process factors, i.e., rutin (7.12 ± 0.06 mg/100 g DM), protocatechuic acid (6.83 ± 0.01 mg/100 g DM), neochlorogenic acid (4.88 ± 0.01 mg/100 g DM), vanillic acid (3.70 ± 0.01 mg/100 g DM), chlorogenic acid (1.93 ± 0.02 mg/100 g DM), and caffeic acid (1.51 ± 0.01 mg/100 g DM).
选择对提取过程有显著影响的因素并对其进行优化,对于获得高提取效率至关重要。本研究旨在使用乙醇水溶液作为绿色提取溶剂,优化从罗马尼亚黑刺李果实中超声辅助提取(UAE)多酚的工艺。基于Plackett-Burman设计(PBD)和中心复合设计(CCD),筛选并优化了六个工艺因素,包括溶剂/植物材料比(= 4.95 - 15.1 cm/g)、提取溶剂中的乙醇浓度(= 16.4 - 83.6%)、提取温度(= 30 - 70 °C)、溶剂的pH值(= 2 - 7)、超声探头的振幅(= 30 - 70%)和提取时间(= 5 - 15分钟)。统计分析表明,溶剂/植物材料比、乙醇浓度和提取温度在总酚含量()、总花青素含量()和抗氧化能力()方面对工艺响应变量有显著影响。在最佳条件下(= 15.1 cm/g,= 33.2%,= 66.8 °C,= 7,= 50%,= 10分钟),通过实验确定了以下响应变量水平:= 14.45 ± 0.718 mg GAE/g DM,= 0.405 ± 0.057 mg C3GE/g DM,= 16.75 ± 1.144 mg TE/g DM。在工艺因素的最佳水平下获得的提取物中鉴定出六种酚类化合物,即芦丁(7.12 ± 0.06 mg/100 g DM)、原儿茶酸(6.83 ± 0.01 mg/100 g DM)、新绿原酸(4.88 ± 0.01 mg/100 g DM)、香草酸(3.70 ± 0.01 mg/100 g DM)、绿原酸(1.93 ± 0.02 mg/100 g DM)和咖啡酸(1.51 ± 0.01 mg/100 g DM)。