Bolovan Lucica Madalina, Panait Marieta Elena, Busca Antonela, Stanciu Adina Elena, Chiriac Daniela, Mihalcea Corina Elena, Hotnog Camelia Mia, Georgescu Mihai Teodor, Voinea Silviu Cristian, Prunoiu Virgiliu Mihail, Brasoveanu Lorelei Irina, Gales Laurentia Nicoleta
Carcinogenesis and Molecular Biology Department, Institute of Oncology "Prof. Dr. Alexandru Trestioreanu", 022328 Bucharest, Romania.
Cancer Biology Department, Institute of Oncology "Prof. Dr. Alexandru Trestioreanu", 022328 Bucharest, Romania.
Biomedicines. 2025 Jun 4;13(6):1378. doi: 10.3390/biomedicines13061378.
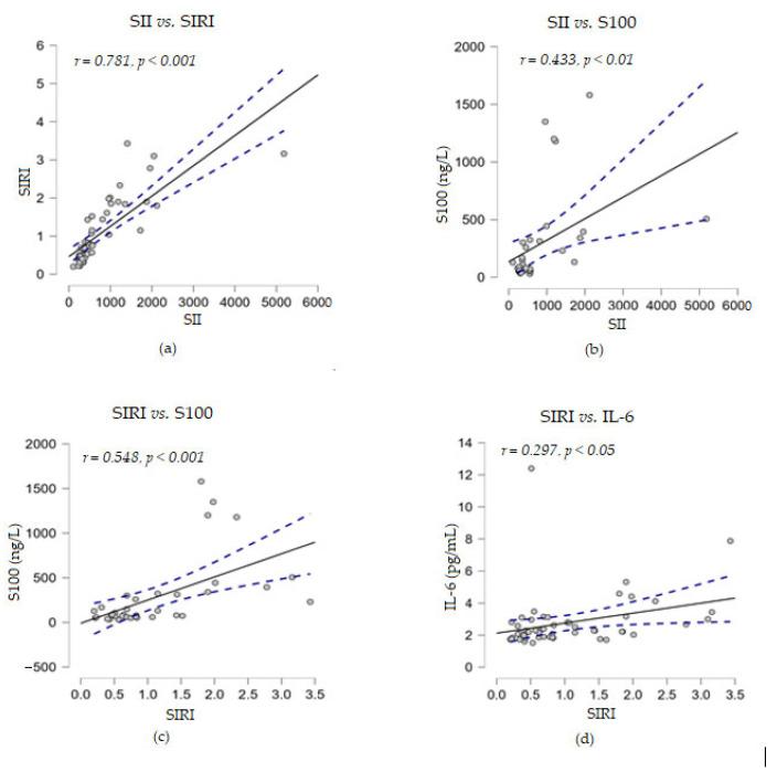
Immune checkpoint inhibitors (ICIs) used for the treatment of advanced melanoma have yielded significant results, with long-term responses and improved survival rates, but not for all treated patients. Therefore, predictive biomarkers of response to ICI therapy have been intensively explored. Our study aimed to evaluate the dynamics of peripheral blood lymphocyte variation and their correlation with a set of related inflammatory factors in Nivolumab-treated advanced melanoma patients. The immunophenotypic assessment of peripheral blood immune cell subpopulations (CD3, CD4, and CD8 T cells; CD19 B cells; CD16CD56 NK cells; and CD4/CD8 ratio) was performed by the flow cytometry technique, concomitantly with a complete blood count; levels of S100, IL-6, and TNF-α proteins were quantified in serum by immunoassays, and lactate dehydrogenase (LDH) by a chemiluminescence assay. Approximately 85% and 79% of patients recorded a trend of increasing levels of CD8 lymphocytes and NK cells, respectively, during therapy. The percentage of NK cells negatively correlated with CD3, CD4, and CD19 cells; the last three cell populations also established negative correlations with the inflammatory neutrophile/lymphocyte ratio (NLR). Furthermore, CD19 cells were negatively correlated with the systemic inflammatory response index (SIRI) and systemic immune-inflammation index (SII). The evaluation of progression biomarkers showed that LDH levels directly correlated with IL-6 and S100 proteins, but no correlation was found with TNFα; IL-6 levels negatively correlated with percentages of CD3, CD4, and CD8 lymphocytes. Variation in lymphocyte subpopulations during immunotherapy of advanced melanoma patients, associated with other cellular and/or molecular inflammatory markers, might provide insights about immune system response, but additional prospective studies are needed.
用于治疗晚期黑色素瘤的免疫检查点抑制剂(ICI)已取得显著成效,带来了长期缓解且提高了生存率,但并非对所有接受治疗的患者都有效。因此,人们对ICI治疗反应的预测生物标志物进行了深入探索。我们的研究旨在评估纳武单抗治疗的晚期黑色素瘤患者外周血淋巴细胞变化的动态情况及其与一组相关炎症因子的相关性。通过流式细胞术对外周血免疫细胞亚群(CD3、CD4和CD8 T细胞;CD19 B细胞;CD16CD56 NK细胞;以及CD4/CD8比值)进行免疫表型评估,同时进行全血细胞计数;通过免疫测定法定量血清中S100、IL-6和TNF-α蛋白的水平,通过化学发光测定法测定乳酸脱氢酶(LDH)水平。在治疗期间,分别约有85%和79%的患者记录到CD8淋巴细胞和NK细胞水平呈上升趋势。NK细胞百分比与CD3、CD4和CD19细胞呈负相关;后三个细胞群体也与炎症中性粒细胞/淋巴细胞比值(NLR)呈负相关。此外,CD19细胞与全身炎症反应指数(SIRI)和全身免疫炎症指数(SII)呈负相关。进展生物标志物的评估表明,LDH水平与IL-6和S100蛋白直接相关,但与TNFα无相关性;IL-6水平与CD3、CD4和CD8淋巴细胞百分比呈负相关。晚期黑色素瘤患者免疫治疗期间淋巴细胞亚群的变化,与其他细胞和/或分子炎症标志物相关,可能为免疫系统反应提供见解,但还需要更多的前瞻性研究。