Famojuro Oluwatoyin B, Famojuro Tayo I, Oluwatobi Oluremi B, Olumide Damilare D
Department of Pharmaceutical Microbiology, Faculty of Pharmacy, Olabisi Onabanjo University, Sagamu, Ogun state, Nigeria.
Department of Pharmacognosy, Faculty of Pharmaceutical Sciences, Bingham University, Karu, Nasarawa State, Nigeria.
Ghana Med J. 2024 Dec;58(4):294-302. doi: 10.4314/gmj.v58i4.7.
This study aims to determine the antibiotic susceptibility pattern and incidence of extended-spectrum beta-lactamase (ESBL) genes in isolates from vaginal discharge of symptomatic female patients.
Cross-sectional study.
Pregnant and non-pregnant women between 18 and 50 years who presented with genital tract infection and had not received antimicrobial therapy in the two weeks prior.
The study determines the prevalence of bacteria in the vaginal discharge of female patients of reproductive age, the antibiotic susceptibility pattern of the isolates and the incidence of ESBL genes in Gram-negative isolates from the sample.
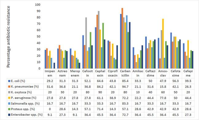
Bacteria were found in 74 (80.4%) and 88 (81.5%) samples from pregnant and non-pregnant women, respectively. (n=48; 27.6%) occurred mostly in the samples, followed by (n=38; 21.8%). Among the Gram-positive, all and were sensitive to imipenem and meropenem (100%). was the most resistant to cephalexin (71.4%), cefoxitin (60.5%) carbenicillin (60.5%) and ceftazidime (57.9%). was highly resistant to carbenicillin (85.4%), cephalexin (64.6%) and cefotaxime (56.3%). showed the highest level of imipenem resistance (31.6%), followed by (29.2%). The prevalence of ESBL genes in Gram-negative isolates from pregnant women was 25.6% (11/43), compared to 30.3% (23/76) in non-pregnant women. Both and had the highest occurrence of 14.3% (17/119) of the isolates.
This study found Gram-negative pathogens isolated from the vaginal tract of both pregnant and non-pregnant women to be resistant to multiple antibiotics and have ESBL genes.
None declared.
本研究旨在确定有症状女性患者阴道分泌物分离株的抗生素敏感性模式及超广谱β-内酰胺酶(ESBL)基因的发生率。
横断面研究。
年龄在18至50岁之间、患有生殖道感染且在两周内未接受抗菌治疗的孕妇和非孕妇。
本研究确定育龄期女性患者阴道分泌物中细菌的流行情况、分离株的抗生素敏感性模式以及样本中革兰氏阴性分离株中ESBL基因的发生率。
在孕妇和非孕妇的样本中,分别有74份(80.4%)和88份(81.5%)检出细菌。(n = 48;27.6%)在样本中出现的频率最高,其次是(n = 38;21.8%)。在革兰氏阳性菌中,所有和对亚胺培南和美罗培南均敏感(100%)。对头孢氨苄(71.4%)、头孢西丁(60.5%)、羧苄青霉素(60.5%)和头孢他啶(57.9%)的耐药性最强。对羧苄青霉素(85.4%)、头孢氨苄(64.6%)和头孢噻肟(56.3%)高度耐药。对亚胺培南的耐药水平最高(31.6%),其次是(29.2%)。孕妇革兰氏阴性分离株中ESBL基因的发生率为25.6%(11/43),非孕妇为30.3%(23/76)。和在分离株中的发生率最高,均为14.3%(17/119)。
本研究发现,从孕妇和非孕妇阴道分离出的革兰氏阴性病原体对多种抗生素耐药且携带ESBL基因。
未声明。