Suppr超能文献

酸橙和来檬提取物作为埃及伊蚊(双翅目:蚊科)的替代控制剂。

Citrus aurantium L. and Citrus latifolia extracts as alternative control agents for Aedes aegypti (Diptera: Culicidae).

作者信息

Martínez Gordon Andrea, Figueredo López Alejandro, Jiménez López Ingrid Dayana, Barrera Martínez Laura, Pardo Cuervo Oscar H, Segura Guerrero Nidya Alexandra

机构信息

Grupo de Investigación en Ciencias Biomédicas UPTC/GICBUPTC, Universidad Pedagógica y Tecnológica de Colombia - UPTC, Tunja, Boyacá, Colombia.

Grupo de Investigación Catálisis, Universidad Pedagógica y Tecnológica de Colombia - UPTC, Tunja, Boyacá, Colombia.

出版信息

Biol Res. 2025 Jul 2;58(1):41. doi: 10.1186/s40659-025-00600-x.

Abstract

BACKGROUND

is a vector of arboviral diseases. Their control has traditionally relied on the use of chemical insecticides; however, this strategy has failed. As an alternative, the use of natural products with a high content of biologically active compounds has been evaluated for the control of this mosquito. It is well known that citrus fruits contain compounds with insecticidal activity. For this reason, and considering the high production of L. and Tanaka ex Q. Jiménez in Colombia, the aim of this research was to establish the susceptibility of to extracts from the exocarp of these two citrus species as an environmentally sustainable approach to vector control.

METHODS

Following WHO methodology, the adulticidal activity of exocarp extracts of L. and Tanaka ex Q. Jiménez strain Moniquirá, obtained with ethanol, -hexane, or chloroform by reflux for 4–6 h, was evaluated. The chemical composition of the extracts was established using GC-MS.

RESULTS

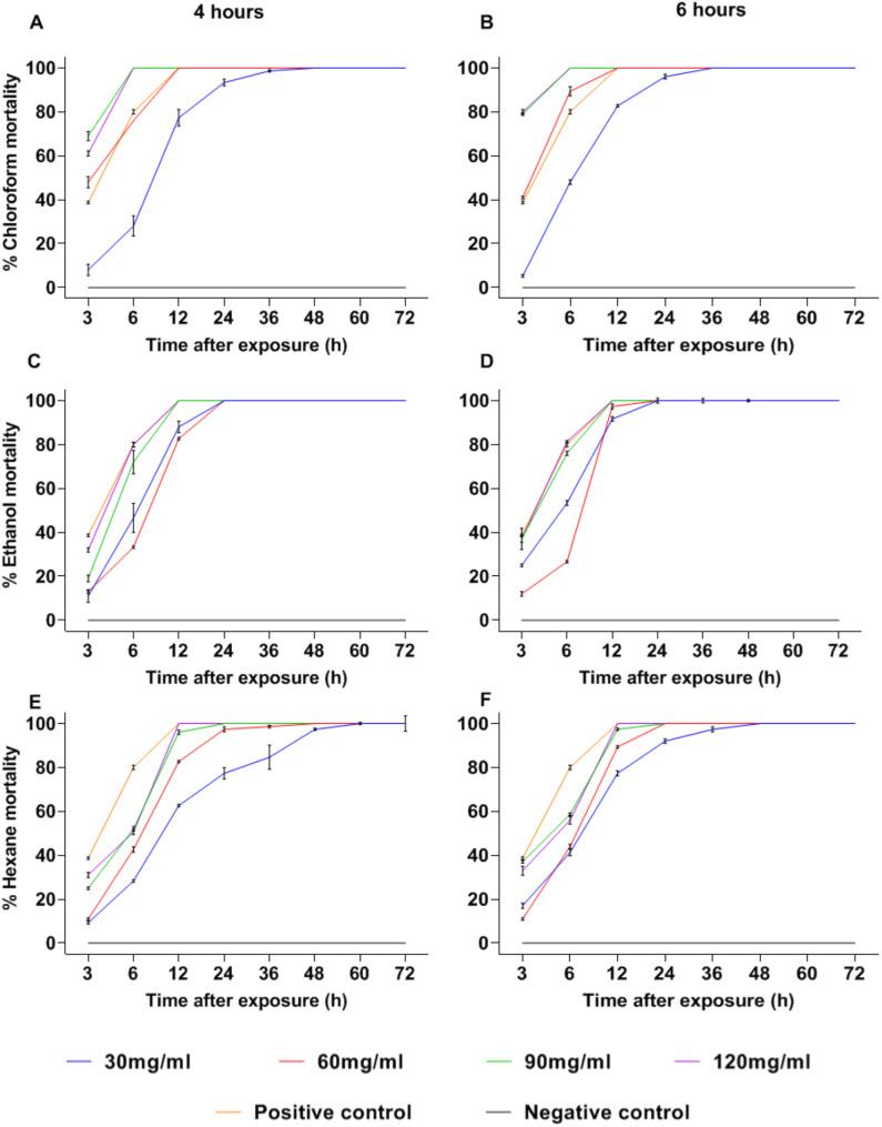
100% mortality was achieved with the ethanolic extract of and the chloroform extract of obtained during 6 h of extraction, with concentrations of 90 and 120 mg/mL at 12 and 6 h p.e. respectively. Highly significant differences ( < 0.001) were determined in concentration, type of solvent, and extraction time regarding mortality for the two species. For the 6 h ethanol extract of , the LC was 32.2 mg/mL after 12 h p.e, while for the 6 h chloroform extract of , the LC was 9 mg/mL after 6 h p.e. The composition of the chloroform extracts is similar, but the concentration of most compounds increased in the 6 h extract. Sabinene, β-Pinene, R-limonene and γ-terpinene were the major components.

CONCLUSIONS

The chemical composition of the extracts showed variable concentrations depending on the extraction time. Indeed, the chloroform extracts of exocarps obtained by reflux at 6 h showed the better potential as control agents for These results form the basis for the future development of a natural product that can be used by residents of endemic areas to

摘要

背景

是虫媒病毒疾病的传播媒介。传统上对它们的控制依赖于使用化学杀虫剂;然而,这一策略已失败。作为一种替代方法,已评估使用具有高含量生物活性化合物的天然产物来控制这种蚊子。众所周知,柑橘类水果含有具有杀虫活性的化合物。因此,考虑到哥伦比亚L.和田中柑橘(由Q.希门尼斯命名)的高产量,本研究的目的是确定这两种柑橘类水果外果皮提取物对该蚊虫的敏感性,作为一种环境可持续的病媒控制方法。

方法

按照世界卫生组织的方法,评估了通过乙醇、正己烷或氯仿回流4 - 6小时获得的L.和田中柑橘(希门尼斯菌株莫尼基拉)外果皮提取物的成虫icidal活性。使用气相色谱 - 质谱联用仪确定提取物的化学成分。

结果

在提取6小时时获得的L.乙醇提取物和6小时时获得的田中柑橘氯仿提取物分别在12小时和6小时后以90和120毫克/毫升的浓度实现了100%的死亡率。在浓度、溶剂类型和提取时间方面,就两种柑橘对蚊虫死亡率而言确定了极显著差异(<0.001)。对于L.的6小时乙醇提取物,12小时后半数致死浓度(LC)为32.2毫克/毫升,而对于田中柑橘的6小时氯仿提取物,6小时后LC为9毫克/毫升。氯仿提取物的成分相似,但大多数化合物的浓度在6小时提取物中有所增加。桧烯、β - 蒎烯、R - 柠檬烯和γ - 萜品烯是主要成分。

结论

提取物的化学成分根据提取时间显示出不同浓度。实际上,通过回流6小时获得的柑橘外果皮氯仿提取物显示出作为蚊虫控制剂的更好潜力。这些结果为未来开发一种可供流行地区居民使用的天然产物奠定了基础。

需注意,原文中“成虫icidal”可能有误,推测应为“成虫icidal”(杀成虫的),以上译文按此推测翻译。

https://cdn.ncbi.nlm.nih.gov/pmc/blobs/4ae8/12218954/57d86f96c2dc/40659_2025_600_Fig1_HTML.jpg

文献AI研究员

20分钟写一篇综述,助力文献阅读效率提升50倍。

立即体验

用中文搜PubMed

大模型驱动的PubMed中文搜索引擎

马上搜索

文档翻译

学术文献翻译模型,支持多种主流文档格式。

立即体验