Suppr超能文献

基于美国国家健康与营养检查调查(NHANES)数据开发用于预测慢性阻塞性肺疾病患者肌肉减少症的临床列线图。

Development of a clinical nomogram for predicting sarcopenia in patients with chronic obstructive pulmonary disease based on NHANES data.

作者信息

Fan Xingfu, Zhao Jin, Luo Yang, Li Xiaofang, Tan Wenqin, Liu Shiping

机构信息

Department of General Medicine, Affiliated Hospital of North Sichuan Medical College, Nanchong, Sichuan, China.

出版信息

Front Med (Lausanne). 2025 Jul 30;12:1612403. doi: 10.3389/fmed.2025.1612403. eCollection 2025.

Abstract

BACKGROUND

The prevalence of sarcopenia in COPD patients is high, and the mutual influence between COPD and sarcopenia creates a vicious cycle. The goal of this research is to create a nomogram model that can forecast when sarcopenia will strike people with COPD.

METHODS

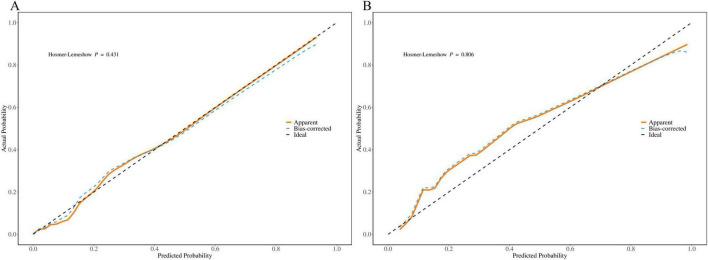
2011 to 2018 data were retrieved from four NHANES database cycles. The 7:3 proportion was applied to split the dataset randomly to separate validation and training datasets. Multivariate logistical regression and LASSO regression were applied to design nomogram design and to select predictors. In addition, multicollinearity existence among final predictor variables remaining in model were tested, among other variables. Calibration curve, decision curve analysis (DCA), and area under receiver operating characteristic curve (AUC) were applied in testing performance in prediction model.

RESULTS

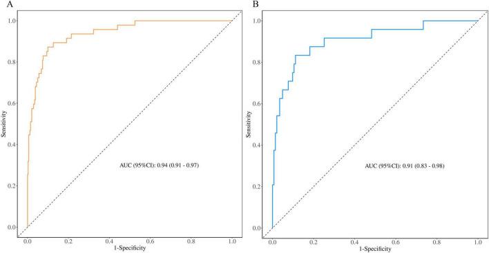
The nomogram was constructed based on four predictive factors: gender, height, BMI, and WWI. The AUC for the training set was 0.94 (95% CI 0.91-0.97), and the AUC for the validation set was 0.91 (95% CI 0.83-0.98), indicating excellent predictive performance. Furthermore, the clinical applicability of the model has been thoroughly validated.

CONCLUSION

We established a nomogram model to provide an easy and convenient way for early screening of sarcopenia in COPD patients, and to allow for effective guidance to perform early intervention and manage patient prognosis in an optimal way.

摘要

背景

慢性阻塞性肺疾病(COPD)患者中肌肉减少症的患病率很高,COPD与肌肉减少症之间的相互影响形成了恶性循环。本研究的目的是创建一个列线图模型,以预测COPD患者何时会出现肌肉减少症。

方法

从四个美国国家健康与营养检查调查(NHANES)数据库周期中检索2011年至2018年的数据。采用7:3的比例随机分割数据集,以分离验证数据集和训练数据集。应用多变量逻辑回归和LASSO回归进行列线图设计并选择预测因子。此外,还测试了模型中最终保留的预测变量之间以及其他变量之间是否存在多重共线性。应用校准曲线、决策曲线分析(DCA)和受试者操作特征曲线下面积(AUC)来测试预测模型的性能。

结果

基于性别、身高、体重指数(BMI)和体重指数与体重比(WWI)这四个预测因素构建了列线图。训练集的AUC为0.94(95%CI 0.91-0.97),验证集的AUC为0.91(95%CI 0.83-0.98),表明预测性能良好。此外,该模型的临床适用性已得到充分验证。

结论

我们建立了一个列线图模型,为COPD患者肌肉减少症的早期筛查提供了一种简便的方法,并能有效地指导进行早期干预,以最佳方式管理患者预后。

https://cdn.ncbi.nlm.nih.gov/pmc/blobs/3e29/12343613/a20bfd121d7e/fmed-12-1612403-g001.jpg

文献检索

告别复杂PubMed语法,用中文像聊天一样搜索,搜遍4000万医学文献。AI智能推荐,让科研检索更轻松。

立即免费搜索

文件翻译

保留排版,准确专业,支持PDF/Word/PPT等文件格式,支持 12+语言互译。

免费翻译文档

深度研究

AI帮你快速写综述,25分钟生成高质量综述,智能提取关键信息,辅助科研写作。

立即免费体验