Lei XinDong, Cheng TingTing, Dong Han, Xia JieYing, Hong Yang, Cheng GuoQiang, Wang YongJin, Chen TieZhu
Animal Experiment Center, Sichuan Academy of Chinese Medicine Sciences, ChengDu, SiChuan, China.
PLoS One. 2025 Sep 4;20(9):e0330108. doi: 10.1371/journal.pone.0330108. eCollection 2025.
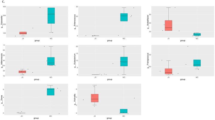
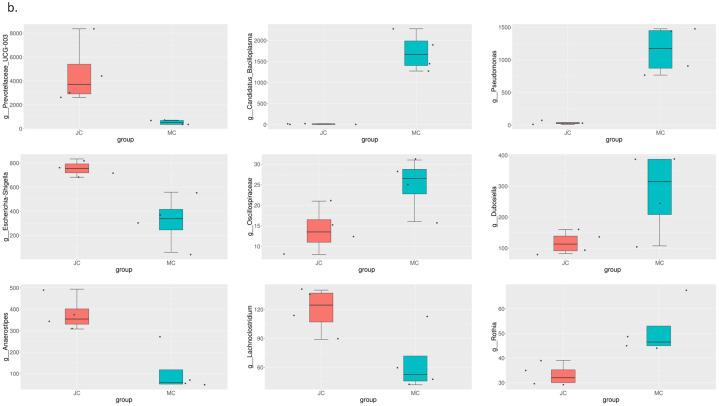
Postmenopausal osteoporosis (PMOP) is a common primary osteoporosis. With the aging of the population, it is becoming a major disease that endangers health and quality of life. The purpose of this study was to explore the effect of gut microbiota on PMOP by observing the changes in the levels of estradiol, bone density, and gut microbiota diversity in rats after 3 months of OVX surgery. 60 female SD rats were randomly divided into four groups: baseline group (6 rats), sham-operated group (18 rats), model group (18 rats), and estrogen-treated group (18 rats). The ovariectomy model of postmenopausal osteoporosis was established by performing bilateral ovariectomy. After surgery, 6 rats from each group were randomly selected for sacrifice every 30 days and subsequent assessment. At the end of 90 days, all rats were sacrificed for evaluation of body weight, bone mineral density (BMD), tissue mineral density (TMD), trabecular bone parameters, femoral bone morphology, hormone levels, and gut microbiota diversity. The analysis revealed that OVX led to a decrease in BMD, TMD, and serum estradiol levels in rats, and increased TNF-α levels. The bone micro-architecture and tissue morphology were also changed, with trabecular fractures, thinning, and decreased numbers. Meanwhile, there was also a shift in the diversity of gut microbiota. The administration of estrogen could potentially ameliorate these alterations. Overall, OVX leads to a persistent decline in estrogen levels in rats. This results in gradual bone loss, which is related to gut microbiota imbalance.
绝经后骨质疏松症(PMOP)是一种常见的原发性骨质疏松症。随着人口老龄化,它正成为一种危害健康和生活质量的主要疾病。本研究的目的是通过观察去势(OVX)手术3个月后大鼠体内雌二醇水平、骨密度和肠道微生物群多样性的变化,探讨肠道微生物群对PMOP的影响。60只雌性SD大鼠随机分为四组:基线组(6只)、假手术组(18只)、模型组(18只)和雌激素治疗组(18只)。通过双侧卵巢切除术建立绝经后骨质疏松症的去势模型。术后,每组每30天随机选取6只大鼠处死并进行后续评估。在90天结束时,处死所有大鼠以评估体重、骨矿物质密度(BMD)、组织矿物质密度(TMD)、小梁骨参数、股骨形态、激素水平和肠道微生物群多样性。分析显示,OVX导致大鼠BMD、TMD和血清雌二醇水平降低,TNF-α水平升高。骨微结构和组织形态也发生了变化,出现小梁骨折、变薄和数量减少。同时,肠道微生物群的多样性也发生了改变。给予雌激素可能会改善这些改变。总体而言,OVX导致大鼠雌激素水平持续下降。这导致骨量逐渐流失,这与肠道微生物群失衡有关。