
这是全球数亿2型糖尿病患者都可能面临的现实问题。二甲双胍作为最常用的一线降糖药,很多人在确诊后首先使用它。然而,随着病程推进,不少患者会发现:二甲双胍"扛不住"了,血糖开始往上走。这时候,医生通常需要加用第二种降糖药。
目前临床上常见的"加药"选项有好几类:注射胰岛素(如甘精胰岛素)、磺脲类药物(如格列美脲)、GLP-1受体激动剂(如利拉鲁肽)以及DPP-4抑制剂(如西格列汀)。这些药各有各的降糖"套路",但一个长期悬而未决的问题是——选药时,到底应该更关注药物对胰岛哪种细胞的影响?
我们的胰腺里有两种关键细胞:β细胞负责分泌胰岛素来降血糖,α细胞负责分泌胰高糖素来升血糖。2型糖尿病患者不仅β细胞"罢工"导致胰岛素不足,α细胞也会"失调",分泌过多的胰高糖素让血糖雪上加霜。因此,学术界一直在讨论:降糖药如果能同时"管住"α细胞,是不是效果会更好?
然而,一项追踪5年、涉及5047名患者的大型研究给出了一个让人意外的答案。
这项研究名为GRADE(Glycemia Reduction Approaches in Diabetes: A Comparative Effectiveness Study),由美国国立卫生研究院资助,是迄今为止规模最大的2型糖尿病降糖药头对头比较试验之一。如图[1]所示,研究纳入了5047名正在服用二甲双胍的2型糖尿病患者(病程不超过10年,糖化血红蛋白在6.8%~8.5%之间),将他们随机分为四组,分别加用甘精胰岛素、格列美脲、利拉鲁肽或西格列汀,然后持续跟踪长达5年。

研究的核心问题很直接:哪种药能更久地把糖化血红蛋白(HbA1c)控制在7%以下?更深层的问题则是——药物对α细胞和β细胞功能的不同影响,哪个才是决定血糖控制成败的关键因素?
为了回答后一个问题,研究团队从中选取了724名受试者,在用药前以及用药后第1、3、5年分别进行口服葡萄糖耐量试验(OGTT),详细检测了反映α细胞功能的胰高糖素指标和反映β细胞功能的C肽指标。
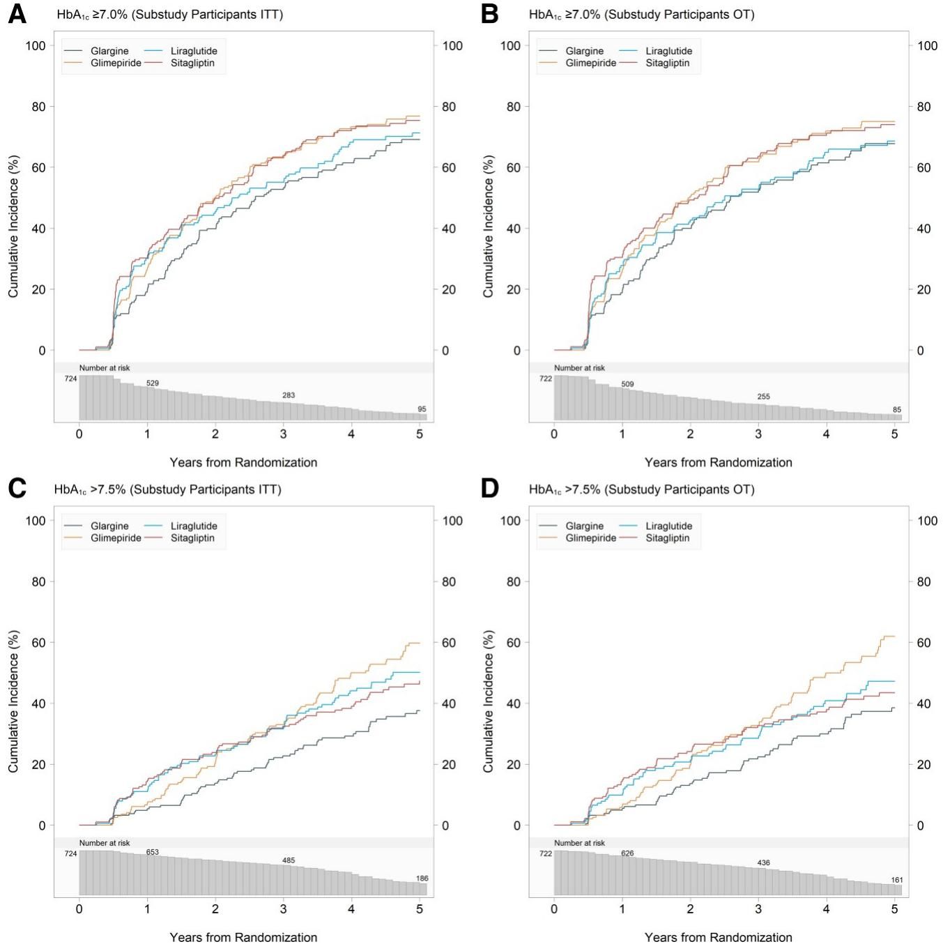
从图[2]中可以看到,研究团队绘制了四组患者在5年内糖化血红蛋白达到≥7.0%(控制不达标)和>7.5%(明显恶化)的累积发生率曲线。结果显示,四种药物加上二甲双胍后,在短期内都能有效降低血糖,但随着时间推移,所有组的血糖都在不可避免地回升——这也印证了2型糖尿病是一种"进行性"疾病的本质。

不过,各组之间的差异还是很明显的。到第5年时,甘精胰岛素组血糖失控的比例最低,格列美脲组最高;利拉鲁肽的表现仅次于甘精胰岛素,而西格列汀则居中偏后。简单来说,胰岛素和GLP-1类药物的"续航能力"更强。
更有价值的发现来自对胰岛细胞功能的深入分析。如图[3]所示,研究者追踪了四组患者在基线及第1、3、5年的多项代谢指标变化,其中既包括反映α细胞功能的空腹胰高糖素和胰高糖素指数(GGI),也包括反映β细胞功能的空腹C肽和C肽指数(CPI)。四种药物对这两类细胞的影响呈现出截然不同的模式:

| 药物 | 对α细胞(胰高糖素)的影响 | 对β细胞(C肽/胰岛素分泌)的影响 |
|---|---|---|
| 甘精胰岛素 | 空腹胰高糖素基本不变 | 空腹C肽明显降低(外源胰岛素替代,β细胞得以"休息") |
| 格列美脲 | 空腹胰高糖素基本不变 | 初期C肽升高,但随后逐渐下降(β细胞被"透支") |
| 利拉鲁肽 | 空腹及餐后胰高糖素均有下降趋势 | 葡萄糖刺激后的C肽反应增强(β细胞功能得到改善) |
| 西格列汀 | 空腹胰高糖素反而升高 | 葡萄糖刺激后的C肽反应在第1、3年增强 |
值得注意的是,西格列汀虽然理论上通过增加体内GLP-1水平来抑制胰高糖素分泌,但实际观测中空腹胰高糖素却不降反升。研究者推测,这可能与DPP-4抑制剂同时升高了另一种肠道激素GIP有关,而GIP会促进胰高糖素的释放。
这项研究最核心、也最出乎意料的结论是:α细胞功能(胰高糖素水平)的变化,与血糖是否失控没有显著关联;而β细胞功能(尤其是C肽指数CPI)的变化,才是决定性因素。
具体数据非常有说服力:
换句话说,不管药物怎样影响胰高糖素,真正决定一个2型糖尿病患者血糖能控制多久的,还是他的β细胞——也就是胰岛素的分泌能力——能保住多少。
这一发现对临床用药决策有着直接的指导意义。研究团队明确指出:在为已经服用二甲双胍的2型糖尿病患者选择第二种降糖药时,应优先考虑药物对β细胞的保护作用——要么帮助β细胞更好地分泌胰岛素(如利拉鲁肽、西格列汀),要么通过补充外源胰岛素让β细胞得到"休息"(如甘精胰岛素),而不必过于纠结药物是否能压低胰高糖素水平。
从本研究的数据来看,格列美脲虽然短期内能"鞭策"β细胞多分泌胰岛素,但这种刺激效应难以持久,C肽水平在后期明显下滑,血糖失控率也位居前列。而甘精胰岛素和利拉鲁肽则通过不同机制为β细胞"减负"或"赋能",展现出更持久的血糖控制效果。
当然,这并不意味着胰高糖素完全无关紧要。研究也发现,空腹胰高糖素的升高确实与空腹血糖和糖化血红蛋白的小幅上升有关(每升高1个标准差,HbA1c约增加0.07个百分点)。只不过,这种影响与β细胞功能衰退带来的血糖恶化相比,实在是"小巫见大巫"。
需要指出的是,这项研究也存在一些局限。首先,724人的胰高糖素子研究样本是从5047人的大队列中事后选取的,并非随机抽样,可能存在一定的选择偏倚。其次,研究中胰岛素敏感性仅通过空腹指标估算,精确度有限。此外,胰高糖素的检测在技术上一直是公认的"老大难"问题,不同检测方法得到的结果可能差异较大,尽管本研究使用的检测试剂盒已经过充分验证。
不过,作为目前唯一一项在同一临床试验中同时比较四类降糖药对α细胞和β细胞功能长期影响的研究,GRADE的这一子分析提供了前所未有的直接证据。
随着GLP-1类药物(如司美格鲁肽)和双靶点激动剂(如替尔泊肽)的快速发展,越来越多的新型降糖药开始同时作用于多种代谢通路。在未来的药物研发和临床决策中,一个值得持续追问的问题是:如果我们找到了更好地保护甚至再生β细胞的方法,2型糖尿病的"进行性恶化"是否有可能被真正逆转?
本文由超能文献“资讯AI智能体”基于4000万篇Pubmed文献自主选题与撰写,并经AI核查及编辑团队二次人工审校。内容仅供学术交流参考,不代表任何医学建议。
分享

亲环素(Cyclophilins)是人体内的蛋白质,平日帮助细胞正常运转,但在疾病状态下可能成为病毒复制、癌细胞扩散的“帮凶”。人体内有17种亲环素,科学家正研究如何针对性地抑制致病亲环素,攻克艾滋病、癌症等。

2026年2月,《柳叶刀》刊登全球首个将手术与干细胞联合用于宫内修复脊柱裂的临床试验结果。6名胎儿接受胎盘间充质干细胞治疗后无不良事件,后脑疝全部逆转,FDA已批准进入下一阶段。这项研究能否让那60%无法独立行走的孩子重新站起来?


本文揭示儿童学习语言并非死记硬背,而是通过整合情境、社会和认知等多重线索,以贝叶斯推断的方式灵活适应多变环境的复杂过程。
研究揭示了DTNA⁺巨噬细胞通过RUNX2-PLG-PARD3信号轴推动脂肪肝恶化为肝炎的机制,并利用机器学习构建了高准确度的无创诊断模型。