• 文献检索
  • 文档翻译
  • 深度研究
  • 学术资讯
  • Suppr Zotero 插件Zotero 插件
  • 邀请有礼
  • 套餐&价格
  • 历史记录
应用&插件
Suppr Zotero 插件Zotero 插件浏览器插件Mac 客户端Windows 客户端微信小程序
定价
高级版会员购买积分包购买API积分包
服务
文献检索文档翻译深度研究API 文档MCP 服务
关于我们
关于 Suppr公司介绍联系我们用户协议隐私条款
关注我们

Suppr 超能文献

核心技术专利:CN118964589B侵权必究
粤ICP备2023148730 号-1Suppr @ 2026

文献检索

告别复杂PubMed语法,用中文像聊天一样搜索,搜遍4000万医学文献。AI智能推荐,让科研检索更轻松。

立即免费搜索

文件翻译

保留排版,准确专业,支持PDF/Word/PPT等文件格式,支持 12+语言互译。

免费翻译文档

深度研究

AI帮你快速写综述,25分钟生成高质量综述,智能提取关键信息,辅助科研写作。

立即免费体验

CAERUS:利用蛋白质结构信息、蛋白质网络、基因表达数据和突变数据之间的关系预测癌症预后。

CAERUS: predicting CAncER oUtcomeS using relationship between protein structural information, protein networks, gene expression data, and mutation data.

机构信息

Graduate Program in Bioinformatics, University of British Columbia, Vancouver, British Columbia, Canada.

出版信息

PLoS Comput Biol. 2011 Mar;7(3):e1001114. doi: 10.1371/journal.pcbi.1001114. Epub 2011 Mar 31.

DOI:10.1371/journal.pcbi.1001114
PMID:21483478
原文链接:https://pmc.ncbi.nlm.nih.gov/articles/PMC3068924/
Abstract

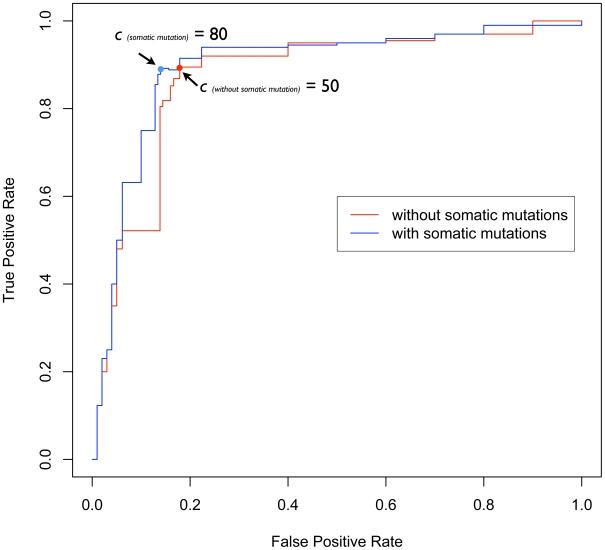
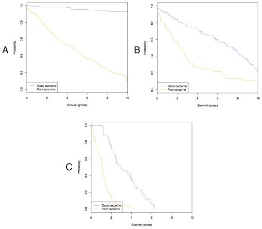
Carcinogenesis is a complex process with multiple genetic and environmental factors contributing to the development of one or more tumors. Understanding the underlying mechanism of this process and identifying related markers to assess the outcome of this process would lead to more directed treatment and thus significantly reduce the mortality rate of cancers. Recently, molecular diagnostics and prognostics based on the identification of patterns within gene expression profiles in the context of protein interaction networks were reported. However, the predictive performances of these approaches were limited. In this study we propose a novel integrated approach, named CAERUS, for the identification of gene signatures to predict cancer outcomes based on the domain interaction network in human proteome. We first developed a model to score each protein by quantifying the domain connections to its interacting partners and the somatic mutations present in the domain. We then defined proteins as gene signatures if their scores were above a preset threshold. Next, for each gene signature, we quantified the correlation of the expression levels between this gene signature and its neighboring proteins. The results of the quantification in each patient were then used to predict cancer outcome by a modified naïve Bayes classifier. In this study we achieved a favorable accuracy of 88.3%, sensitivity of 87.2%, and specificity of 88.9% on a set of well-documented gene expression profiles of 253 consecutive breast cancer patients with different outcomes. We also compiled a list of cancer-associated gene signatures and domains, which provided testable hypotheses for further experimental investigation. Our approach proved successful on different independent breast cancer data sets as well as an ovarian cancer data set. This study constitutes the first predictive method to classify cancer outcomes based on the relationship between the domain organization and protein network.

摘要

致癌作用是一个复杂的过程,涉及多个遗传和环境因素,导致一个或多个肿瘤的发展。了解这个过程的潜在机制,并确定相关的标志物来评估这个过程的结果,将导致更有针对性的治疗,从而显著降低癌症的死亡率。最近,基于基因表达谱中蛋白质相互作用网络内模式的识别,报道了分子诊断和预后。然而,这些方法的预测性能有限。在这项研究中,我们提出了一种新的综合方法,命名为 CAERUS,用于识别基因特征,以基于人类蛋白质组中域相互作用网络来预测癌症结果。我们首先开发了一种通过量化与相互作用伙伴的域连接和域中存在的体细胞突变来给每个蛋白质评分的模型。如果蛋白质的分数超过预设的阈值,我们就将其定义为基因特征。接下来,对于每个基因特征,我们量化了该基因特征与其相邻蛋白质之间的表达水平之间的相关性。然后,在每个患者中,使用修改后的朴素贝叶斯分类器,根据量化结果来预测癌症结果。在这项研究中,我们在一组 253 名连续乳腺癌患者的有充分记录的基因表达谱上实现了 88.3%的良好准确性、87.2%的敏感性和 88.9%的特异性。我们还编制了一份癌症相关基因特征和域的列表,为进一步的实验研究提供了可检验的假设。我们的方法在不同的独立乳腺癌数据集和卵巢癌数据集中也取得了成功。这项研究构成了第一个基于域组织和蛋白质网络之间的关系来分类癌症结果的预测方法。

https://cdn.ncbi.nlm.nih.gov/pmc/blobs/a467/3068924/106afa3f15b3/pcbi.1001114.g006.jpg
https://cdn.ncbi.nlm.nih.gov/pmc/blobs/a467/3068924/1e9e30442bfc/pcbi.1001114.g001.jpg
https://cdn.ncbi.nlm.nih.gov/pmc/blobs/a467/3068924/7fee1dde0367/pcbi.1001114.g002.jpg
https://cdn.ncbi.nlm.nih.gov/pmc/blobs/a467/3068924/9283ee83c30e/pcbi.1001114.g003.jpg
https://cdn.ncbi.nlm.nih.gov/pmc/blobs/a467/3068924/b86d8977bf37/pcbi.1001114.g004.jpg
https://cdn.ncbi.nlm.nih.gov/pmc/blobs/a467/3068924/35f7fe72832b/pcbi.1001114.g005.jpg
https://cdn.ncbi.nlm.nih.gov/pmc/blobs/a467/3068924/106afa3f15b3/pcbi.1001114.g006.jpg
https://cdn.ncbi.nlm.nih.gov/pmc/blobs/a467/3068924/1e9e30442bfc/pcbi.1001114.g001.jpg
https://cdn.ncbi.nlm.nih.gov/pmc/blobs/a467/3068924/7fee1dde0367/pcbi.1001114.g002.jpg
https://cdn.ncbi.nlm.nih.gov/pmc/blobs/a467/3068924/9283ee83c30e/pcbi.1001114.g003.jpg
https://cdn.ncbi.nlm.nih.gov/pmc/blobs/a467/3068924/b86d8977bf37/pcbi.1001114.g004.jpg
https://cdn.ncbi.nlm.nih.gov/pmc/blobs/a467/3068924/35f7fe72832b/pcbi.1001114.g005.jpg
https://cdn.ncbi.nlm.nih.gov/pmc/blobs/a467/3068924/106afa3f15b3/pcbi.1001114.g006.jpg