Suppr超能文献

药物基因组学实施培训可提高自我效能和能力,以推动其在临床实践中的应用。

Pharmacogenomics Implementation Training Improves Self-Efficacy and Competency to Drive Adoption in Clinical Practice.

作者信息

Adesta Fadhli, Mahendra Caroline, Junusmin Kathleen Irena, Rajah Arya Melissa Selva, Goh Sharon, Sani Levana, Chan Alexandre, Irwanto Astrid

机构信息

Nalagenetics Pte Ltd, Singapore, Singapore.

Department of Clinical Pharmacy Practice, School of Pharmacy and Pharmaceutical Sciences, University of California, Irvine, Irvine, CA, United States.

出版信息

Front Pharmacol. 2021 Jun 28;12:684907. doi: 10.3389/fphar.2021.684907. eCollection 2021.

Abstract

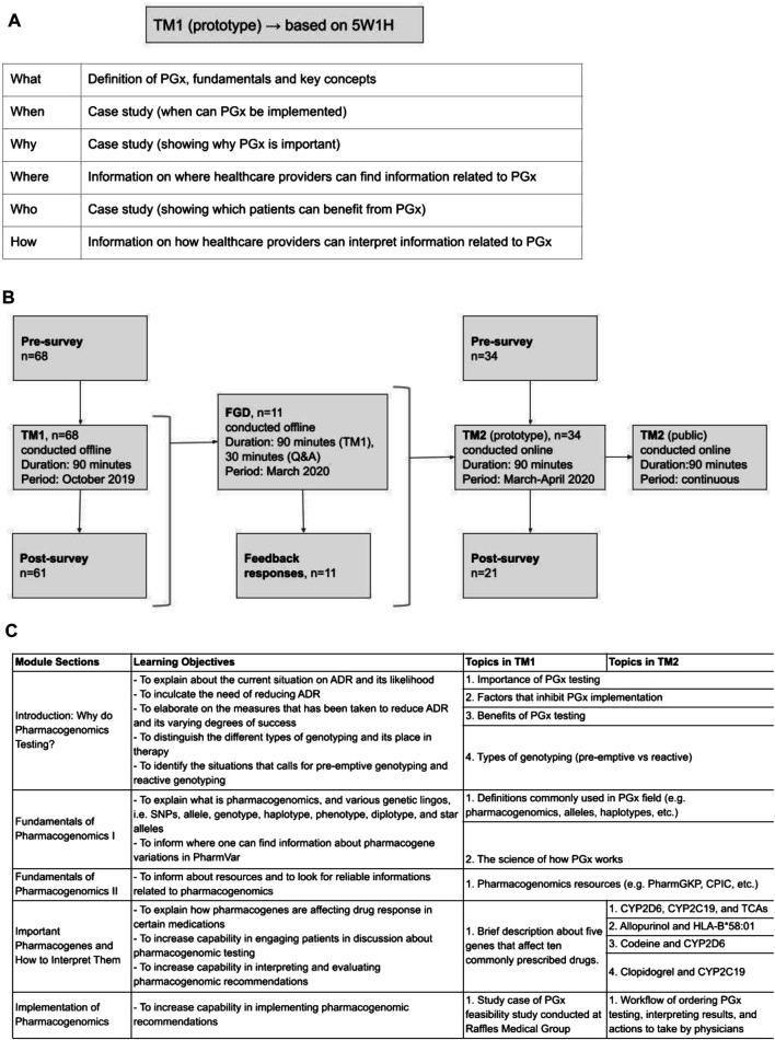
Administration of pharmacogenomics (PGx) testing in clinical practice has been suboptimal, presumably due to lack of PGx education. Here, we aim to evaluate the standpoint of PGx testing among a diverse group of healthcare professionals (HCPs) through conducting surveys before and after training. Training modules were designed to cover three key learning objectives and deployed in five sections. A pre- and post-training survey questionnaire was used to evaluate participants' self-assessments on employing PGx in clinical practice. Out of all enrollments, 102 survey responses were collected. Overall, respondents agree on the benefits of PGx testing, but have inadequate self-efficacy and competency in utilizing PGx data. Our results show that a 90 min long training significantly improves these, and could lead to greater anticipation of PGx adoption.

摘要

在临床实践中,药物基因组学(PGx)检测的应用并不理想,这可能是由于缺乏PGx相关教育。在此,我们旨在通过在培训前后进行调查,评估不同医疗保健专业人员(HCPs)群体对PGx检测的看法。培训模块旨在涵盖三个关键学习目标,并分为五个部分展开。使用培训前和培训后的调查问卷来评估参与者对在临床实践中应用PGx的自我评估。在所有登记人员中,共收集到102份调查问卷回复。总体而言,受访者认同PGx检测的益处,但在利用PGx数据方面自我效能感不足且能力欠缺。我们的结果表明,90分钟的培训能显著改善这些情况,并可能带来对采用PGx检测的更高预期。

https://cdn.ncbi.nlm.nih.gov/pmc/blobs/2c74/8273230/59c9dae1b10e/fphar-12-684907-g001.jpg

文献AI研究员

20分钟写一篇综述,助力文献阅读效率提升50倍。

立即体验

用中文搜PubMed

大模型驱动的PubMed中文搜索引擎

马上搜索

文档翻译

学术文献翻译模型,支持多种主流文档格式。

立即体验