• 文献检索
  • 文档翻译
  • 深度研究
  • 学术资讯
  • Suppr Zotero 插件Zotero 插件
  • 邀请有礼
  • 套餐&价格
  • 历史记录
应用&插件
Suppr Zotero 插件Zotero 插件浏览器插件Mac 客户端Windows 客户端微信小程序
定价
高级版会员购买积分包购买API积分包
服务
文献检索文档翻译深度研究API 文档MCP 服务
关于我们
关于 Suppr公司介绍联系我们用户协议隐私条款
关注我们

Suppr 超能文献

核心技术专利:CN118964589B侵权必究
粤ICP备2023148730 号-1Suppr @ 2026

文献检索

告别复杂PubMed语法,用中文像聊天一样搜索,搜遍4000万医学文献。AI智能推荐,让科研检索更轻松。

立即免费搜索

文件翻译

保留排版,准确专业,支持PDF/Word/PPT等文件格式,支持 12+语言互译。

免费翻译文档

深度研究

AI帮你快速写综述,25分钟生成高质量综述,智能提取关键信息,辅助科研写作。

立即免费体验

水杨酸、甘草酸铵盐和硼酸纳米粒子对与野豌豆属相关的植原体的纳米抑制作用。

Nanoinhibitory Impacts of Salicylic Acid, Glycyrrhizic Acid Ammonium Salt, and Boric Acid Nanoparticles against Phytoplasma Associated with Faba Bean.

机构信息

Virus and Phytoplasma Research Department, Plant Pathology Research Institute, Agricultural Research Center (ARC), Giza 12619, Egypt.

Environmental Biotechnology Department, College of Biotechnology, Misr University for Science and Technology, Giza 12563, Egypt.

出版信息

Molecules. 2022 Feb 22;27(5):1467. doi: 10.3390/molecules27051467.

DOI:10.3390/molecules27051467
PMID:35268567
原文链接:https://pmc.ncbi.nlm.nih.gov/articles/PMC8911656/
Abstract

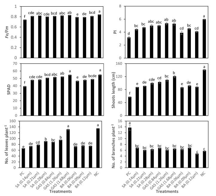
Phytoplasmas are economically important plant pathogenic bacterial diseases, causing severe yield losses worldwide. In this study, we tested nanoformulations such as glycyrrhizic acid ammonium salt (GAS), salicylic acid (SA), and boric acid (BA) as novel antimicrobial agents inducing the resistance against the phytoplasma disease in faba bean. The nanoparticles (NP) were foliar-applied to naturally phytoplasma-infected faba bean with three concentrations from each of SA, GAS, and BA, under field conditions. Nested PCR (using universal primer pairs P1/P7 and R16F2n/R16R2) were reacted positively with all symptomatic samples and gave a product size of approximately 1200 bp, while the healthy plant gave no results. Transmission electron microscopy examinations of phytoplasma-infected faba bean plants treated with different nanoparticles revealed that severe damage occurred in phytoplasma particle's structure, degradation, malformation, lysis in the cell membrane, and the cytoplasmic leakage followed by complete lysis of phytoplasma cells. Exogenous application of GAS-NP (1.68 µM), SA-NP (0.28 µM), and BA-NP (0.124 µM) suppressed the infection percentage of phytoplasma by 75%, 50%, and 20%, and the disease severity by 84%, 64%, and 54%, respectively. Foliar application of nanoparticles improved Fv/Fm (maximum quantum efficiency of PSII Photochemistry), PI (the performance index), SPAD chlorophyll (the relative chlorophyll content), shoots height, and leaves number, thus inducing recovery of the plant biomass and green pods yield. The most effective treatment was GAS-NP at 1.68 µM that mediated substantial increases in the shoots' fresh weight, shoots' dry weight, number of pods per plant, and green pods yield by 230%, 244%, 202% and 178%, respectively, compared to those of infected plants not sprayed with nanoparticles. This study demonstrated the utility of using nanoparticles, particularly GAS-NP at 1.68 µM to suppress the phytoplasma infection.

摘要

植原体是一类重要的经济作物病原细菌,可导致全球范围内严重的产量损失。在这项研究中,我们测试了纳米制剂,如甘草酸铵盐(GAS)、水杨酸(SA)和硼酸(BA),作为诱导蚕豆抵抗植原体病的新型抗菌剂。在田间条件下,将纳米颗粒(NP)以三种浓度的方式叶面喷施到自然感染植原体的蚕豆植株上。嵌套 PCR(使用通用引物对 P1/P7 和 R16F2n/R16R2)与所有症状样本反应呈阳性,得到约 1200bp 的产物大小,而健康植物则无结果。用不同纳米颗粒处理感染植原体的蚕豆植物的透射电子显微镜检查显示,植原体颗粒结构严重受损、降解、畸形、细胞膜溶解和细胞质泄漏,随后植原体细胞完全溶解。外源施加 GAS-NP(1.68µM)、SA-NP(0.28µM)和 BA-NP(0.124µM)分别抑制了 75%、50%和 20%的植原体感染率,以及 84%、64%和 54%的病情严重程度。纳米颗粒的叶面喷施提高了 Fv/Fm(PSII 光化学的最大量子效率)、PI(性能指数)、SPAD 叶绿素(相对叶绿素含量)、茎高和叶片数,从而诱导植物生物量和绿叶荚果产量的恢复。最有效的处理是 1.68µM 的 GAS-NP,与未喷施纳米颗粒的感染植株相比,它介导了茎鲜重、茎干重、每株豆荚数和绿叶荚果产量分别增加 230%、244%、202%和 178%。本研究证明了使用纳米颗粒,特别是 1.68µM 的 GAS-NP 抑制植原体感染的有效性。

https://cdn.ncbi.nlm.nih.gov/pmc/blobs/033a/8911656/11acf8860c4b/molecules-27-01467-g009a.jpg
https://cdn.ncbi.nlm.nih.gov/pmc/blobs/033a/8911656/97ad86eaae86/molecules-27-01467-g001.jpg
https://cdn.ncbi.nlm.nih.gov/pmc/blobs/033a/8911656/1f61cc09beae/molecules-27-01467-g002.jpg
https://cdn.ncbi.nlm.nih.gov/pmc/blobs/033a/8911656/a0278549784f/molecules-27-01467-g003.jpg
https://cdn.ncbi.nlm.nih.gov/pmc/blobs/033a/8911656/cea64d6d0d42/molecules-27-01467-g004.jpg
https://cdn.ncbi.nlm.nih.gov/pmc/blobs/033a/8911656/daa3b29a997d/molecules-27-01467-g005.jpg
https://cdn.ncbi.nlm.nih.gov/pmc/blobs/033a/8911656/29ec79da814a/molecules-27-01467-g006.jpg
https://cdn.ncbi.nlm.nih.gov/pmc/blobs/033a/8911656/5f70333b2dbb/molecules-27-01467-g007.jpg
https://cdn.ncbi.nlm.nih.gov/pmc/blobs/033a/8911656/f168e890e9be/molecules-27-01467-g008.jpg
https://cdn.ncbi.nlm.nih.gov/pmc/blobs/033a/8911656/11acf8860c4b/molecules-27-01467-g009a.jpg
https://cdn.ncbi.nlm.nih.gov/pmc/blobs/033a/8911656/97ad86eaae86/molecules-27-01467-g001.jpg
https://cdn.ncbi.nlm.nih.gov/pmc/blobs/033a/8911656/1f61cc09beae/molecules-27-01467-g002.jpg
https://cdn.ncbi.nlm.nih.gov/pmc/blobs/033a/8911656/a0278549784f/molecules-27-01467-g003.jpg
https://cdn.ncbi.nlm.nih.gov/pmc/blobs/033a/8911656/cea64d6d0d42/molecules-27-01467-g004.jpg
https://cdn.ncbi.nlm.nih.gov/pmc/blobs/033a/8911656/daa3b29a997d/molecules-27-01467-g005.jpg
https://cdn.ncbi.nlm.nih.gov/pmc/blobs/033a/8911656/29ec79da814a/molecules-27-01467-g006.jpg
https://cdn.ncbi.nlm.nih.gov/pmc/blobs/033a/8911656/5f70333b2dbb/molecules-27-01467-g007.jpg
https://cdn.ncbi.nlm.nih.gov/pmc/blobs/033a/8911656/f168e890e9be/molecules-27-01467-g008.jpg
https://cdn.ncbi.nlm.nih.gov/pmc/blobs/033a/8911656/11acf8860c4b/molecules-27-01467-g009a.jpg