Suppr超能文献

4-氨基吡啶可降低猪颗粒细胞的孕酮生成量。

4-aminopyridine decreases progesterone production by porcine granulosa cells.

作者信息

Li Yan, Ganta Suhasini, von Stein Fred B, Mason Diane E, Mitchell Brianna M, Freeman Lisa C

机构信息

Departments of Anatomy & Physiology College of Veterinary Medicine, Kansas State University, Manhattan, Kansas 66506-5802, USA.

出版信息

Reprod Biol Endocrinol. 2003 Apr 1;1:31. doi: 10.1186/1477-7827-1-31.

Abstract

BACKGROUND

Ion channels occur as large families of related genes with cell-specific expression patterns. Granulosa cells have been shown to express voltage-gated potassium channels from more than one family. The purpose of this study was to determine the effects of 4-aminopyridine (4-AP), an antagonist of KCNA but not KCNQ channels.

METHODS

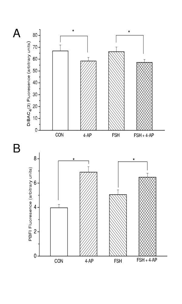
Granulosa cells were isolated from pig follicles and cultured with 4-AP, alone or in combination with FSH, 8-CPT-cAMP, estradiol 17beta, and DIDS. Complimentary experiments determined the effects of 4-AP on the spontaneously established pig granulosa cell line PGC-2. Granulosa cell or PGC-2 function was assessed by radio-immunoassay of media progesterone accumulation. Cell viability was assessed by trypan blue exclusion. Drug-induced changes in cell membrane potential and intracellular potassium concentration were documented by spectrophotometric determination of DiBAC4(3) and PBFI fluorescence, respectively. Expression of proliferating cell nuclear antigen (PCNA) and steroidogenic acute regulatory protein (StAR) was assessed by immunoblotting. Flow cytometry was also used to examine granulosa cell viability and size.

RESULTS

4-AP (2 mM) decreased progesterone accumulation in the media of serum-supplemented and serum-free granulosa cultures, but inhibited cell proliferation only under serum-free conditions. 4-AP decreased the expression of StAR, the production of cAMP and the synthesis of estradiol by PGC-2. Addition of either 8-CPT-cAMP or estradiol 17beta to serum-supplemented primary cultures reduced the inhibitory effects of 4-AP. 4-AP treatment was also associated with increased cell size, increased intracellular potassium concentration, and hyperpolarization of resting membrane potential. The drug-induced hyperpolarization of resting membrane potential was prevented either by decreasing extracellular chloride or by adding DIDS to the media. DIDS also prevented 4-AP inhibition of progesterone production.

CONCLUSION

4-AP inhibits basal and FSH-stimulated progesterone production by pig granulosa cells via drug action at multiple interacting steps in the steroidogenic pathway. These inhibitory effects of 4-AP on steroidogenesis may reflect drug-induced changes in intracellular concentrations of K+and Cl- as well as granulosa cell resting membrane potential.

摘要

背景

离子通道以具有细胞特异性表达模式的相关基因大家族形式存在。已证明颗粒细胞可表达来自多个家族的电压门控钾通道。本研究的目的是确定4-氨基吡啶(4-AP)的作用,它是KCNA通道而非KCNQ通道的拮抗剂。

方法

从猪卵泡中分离颗粒细胞,并用4-AP单独或与促卵泡激素(FSH)、8-氯腺苷-3',5'-环磷酸(8-CPT-cAMP)、17β-雌二醇和4,4'-二异硫氰酸根合芪-2,2'-二磺酸(DIDS)联合培养。补充实验确定了4-AP对自发建立的猪颗粒细胞系PGC-2的影响。通过放射免疫分析法检测培养基中孕酮积累来评估颗粒细胞或PGC-2的功能。通过台盼蓝拒染法评估细胞活力。分别通过分光光度法测定二苯甲酰甲烷(DiBAC4(3))和苯甲酰荧光素(PBFI)荧光来记录药物诱导的细胞膜电位和细胞内钾浓度变化。通过免疫印迹法评估增殖细胞核抗原(PCNA)和类固醇生成急性调节蛋白(StAR)的表达。还使用流式细胞术检查颗粒细胞的活力和大小。

结果

4-AP(2 mM)降低了补充血清和无血清颗粒细胞培养物培养基中的孕酮积累,但仅在无血清条件下抑制细胞增殖。4-AP降低了PGC-2中StAR的表达、cAMP的产生和雌二醇的合成。向补充血清的原代培养物中添加8-CPT-cAMP或17β-雌二醇可降低4-AP的抑制作用。4-AP处理还与细胞大小增加、细胞内钾浓度增加和静息膜电位超极化有关。通过降低细胞外氯离子或向培养基中添加DIDS可防止药物诱导的静息膜电位超极化。DIDS也可防止4-AP对孕酮产生的抑制作用。

结论

4-AP通过在类固醇生成途径的多个相互作用步骤发挥药物作用,抑制猪颗粒细胞的基础孕酮分泌和FSH刺激的孕酮分泌。4-AP对类固醇生成的这些抑制作用可能反映了药物诱导的细胞内K+和Cl-浓度变化以及颗粒细胞静息膜电位变化。

https://cdn.ncbi.nlm.nih.gov/pmc/blobs/96d8/155641/85bd2a0d6491/1477-7827-1-31-1.jpg

文献AI研究员

20分钟写一篇综述,助力文献阅读效率提升50倍。

立即体验

用中文搜PubMed

大模型驱动的PubMed中文搜索引擎

马上搜索

文档翻译

学术文献翻译模型,支持多种主流文档格式。

立即体验