Suppr超能文献

霉酚酸酯可抑制柯萨奇B3病毒诱导的小鼠心肌炎的发展。

Mycophenolate mofetil inhibits the development of Coxsackie B3-virus-induced myocarditis in mice.

作者信息

Padalko Elizaveta, Verbeken Erik, Matthys Patrick, Aerts Joeri L, De Clercq Erik, Neyts Johan

机构信息

Laboratory of Chemotherapy, Rega Institute, Katholieke Universiteit Leuven, Minderbroedersstraat 10, B-3000 Leuven, Belgium.

出版信息

BMC Microbiol. 2003 Dec 21;3:25. doi: 10.1186/1471-2180-3-25.

Abstract

BACKGROUND

Viral replication as well as an immunopathological component are assumed to be involved in the development of coxsackie B virus (CBV)-induced myocarditis. We observed that mycophenolic acid (MPA), the active metabolite of the immunosuppressive agent mycophenolate mofetil (MMF), inhibits coxsackie B3 virus (CBV3) replication in primary Human myocardial fibroblasts. We therefore studied whether MMF, which is thus endowed with a direct antiviral as well as immunosuppressive effect, may prevent CBV-induced myocarditis in a murine model.

RESULTS

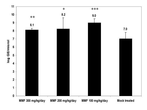
Four week old C3H-mice were infected with CBV3 and received twice daily, for 7 consecutive days (from one day before to 5 days post-virus inoculation) treatment with MMF via oral gavage. Treatment with MMF resulted in a significant reduction in the development of CBV-induced myocarditis as assessed by morphometric analysis, i.e. 78% reduction when MMF was administered at 300 mg/kg/day (p < 0.001), 65% reduction at 200 mg/kg/day (p < 0.001), and 52% reduction at 100 mg/kg/day (p = 0.001). The beneficial effect could not be ascribed to inhibition of viral replication since titers of infectious virus and viral RNA in heart tissue were increased in MMF-treated animals as compared to untreated animals.

CONCLUSION

The immunosuppressive agent MMF results in an important reduction of CBV3-induced myocarditis in a murine model.

摘要

背景

病毒复制以及免疫病理成分被认为参与了柯萨奇B病毒(CBV)诱导的心肌炎的发展。我们观察到免疫抑制剂霉酚酸酯(MMF)的活性代谢产物霉酚酸(MPA)可抑制人原代心肌成纤维细胞中柯萨奇B3病毒(CBV3)的复制。因此,我们研究了具有直接抗病毒和免疫抑制作用的MMF是否能在小鼠模型中预防CBV诱导的心肌炎。

结果

四周龄的C3H小鼠感染CBV3,并通过灌胃连续7天(从病毒接种前一天至接种后5天)每天两次接受MMF治疗。通过形态计量分析评估,MMF治疗显著降低了CBV诱导的心肌炎的发生率,即当MMF以300 mg/kg/天给药时降低了78%(p < 0.001),以200 mg/kg/天给药时降低了65%(p < 0.001),以100 mg/kg/天给药时降低了52%(p = 0.001)。这种有益效果不能归因于病毒复制的抑制,因为与未治疗的动物相比,MMF治疗的动物心脏组织中感染性病毒和病毒RNA的滴度增加。

结论

免疫抑制剂MMF在小鼠模型中可显著降低CBV3诱导的心肌炎的发生率。

https://cdn.ncbi.nlm.nih.gov/pmc/blobs/07aa/317291/7c4628b82352/1471-2180-3-25-1.jpg

相似文献

3
The interferon inducer ampligen [poly(I)-poly(C12U)] markedly protects mice against coxsackie B3 virus-induced myocarditis.
Antimicrob Agents Chemother. 2004 Jan;48(1):267-74. doi: 10.1128/AAC.48.1.267-274.2004.
5
Mycophenolate mofetil prevents the development of experimental autoimmune myocarditis.
J Mol Cell Cardiol. 2005 Sep;39(3):467-77. doi: 10.1016/j.yjmcc.2005.04.004.
9
Protective effects of losartan in mice with chronic viral myocarditis induced by coxsackievirus B3.
Life Sci. 2013 Jul 10;92(24-26):1186-94. doi: 10.1016/j.lfs.2013.05.010. Epub 2013 May 20.

引用本文的文献

2
Growth Transformation of B Cells by Epstein-Barr Virus Requires Induction and Nucleolar Hypertrophy.
Microbiol Spectr. 2023 Aug 17;11(4):e0044023. doi: 10.1128/spectrum.00440-23. Epub 2023 Jul 6.
3
Safety and efficacy of mycophenolate in COVID-19: a nonrandomised prospective study in western India.
Lancet Reg Health Southeast Asia. 2023 Apr;11:100154. doi: 10.1016/j.lansea.2023.100154. Epub 2023 Jan 25.
4
SARS-CoV-2 Myocarditis: Insights Into Incidence, Prognosis, and Therapeutic Implications.
Curr Cardiol Rep. 2021 Aug 3;23(9):129. doi: 10.1007/s11886-021-01551-x.
5
A Toolbox of Potential Immune-Related Therapies for Inflammatory Cardiomyopathy.
J Cardiovasc Transl Res. 2021 Feb;14(1):75-87. doi: 10.1007/s12265-020-10025-4. Epub 2020 May 21.
6
A global treatments for coronaviruses including COVID-19.
J Cell Physiol. 2020 Dec;235(12):9133-9142. doi: 10.1002/jcp.29785. Epub 2020 May 11.
7
Status presens of antiviral drugs and strategies: Part II: RNA VIRUSES (EXCEPT RETROVIRUSES).
Adv Antivir Drug Des. 2007;5:59-112. doi: 10.1016/S1075-8593(06)05002-7. Epub 2007 Sep 2.
10
Inhibition of pyrimidine biosynthesis pathway suppresses viral growth through innate immunity.
PLoS Pathog. 2013;9(10):e1003678. doi: 10.1371/journal.ppat.1003678. Epub 2013 Oct 3.

本文引用的文献

2
The interferon inducer ampligen [poly(I)-poly(C12U)] markedly protects mice against coxsackie B3 virus-induced myocarditis.
Antimicrob Agents Chemother. 2004 Jan;48(1):267-74. doi: 10.1128/AAC.48.1.267-274.2004.
3
New trends in immunosuppression.
Drugs Today (Barc). 2000 Jun;36(6):395-410. doi: 10.1358/dot.2000.36.6.584260.
4
Antibody-mediated immune enhancement in coxsackievirus B3 myocarditis.
J Mol Cell Cardiol. 2002 Sep;34(9):1227-38. doi: 10.1006/jmcc.2002.2087.
5
Enhancement of coxsackievirus B3 infection by antibody to a different coxsackievirus strain.
J Gen Virol. 2002 Feb;83(Pt 2):351-358. doi: 10.1099/0022-1317-83-2-351.
7
Impact of mycophenolate mofetil on recurrent rejection in kidney transplant patients.
Clin Transplant. 2001 Aug;15(4):253-7. doi: 10.1034/j.1399-0012.2001.150406.x.
9
Mycophenolate mofetil: suggested guidelines for use in kidney transplantation.
BioDrugs. 2001;15(1):37-53. doi: 10.2165/00063030-200115010-00004.
10
Heart transplantation in the young and elderly.
Heart Fail Rev. 2001 Sep;6(3):221-6. doi: 10.1023/a:1011406022657.

文献AI研究员

20分钟写一篇综述,助力文献阅读效率提升50倍。

立即体验

用中文搜PubMed

大模型驱动的PubMed中文搜索引擎

马上搜索

文档翻译

学术文献翻译模型,支持多种主流文档格式。

立即体验