Suppr超能文献

MUC基因在子宫内膜、宫颈组织及肿瘤中的差异表达。

Differential expression of MUC genes in endometrial and cervical tissues and tumors.

作者信息

Hebbar Vidya, Damera Gautam, Sachdev Goverdhan P

机构信息

Department of Pharmaceutical Sciences, College of Pharmacy, University of Oklahoma Health Sciences Center, PO Box 26901, Oklahoma City, OK 73190, USA.

出版信息

BMC Cancer. 2005 Sep 27;5:124. doi: 10.1186/1471-2407-5-124.

Abstract

BACKGROUND

Mucin glycoprotein's are major components of mucus and are considered an important class of tumor associated antigens. The objective of this study was to investigate the expression of human MUC genes (MUC1, MUC2, MUC5B, MUC5AC and MUC8) in human endometrium and cervix, and to compare and quantitate the expression of MUC genes in normal and cancerous tissues.

METHODS

Slot blot techniques were used to study the MUC gene expression and quantitation.

RESULTS

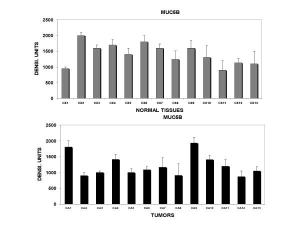
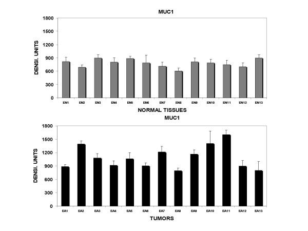
Of the five-mucin genes studied, MUC1, MUC5B and MUC8 showed high expression levels in the normal and cancerous endometrial and cervical tissues, MUC2 and MUC5AC showed considerably lower expression. Statistically, higher levels of MUC1, MUC5B and MUC8 were observed in endometrial adenocarcinomas compared to normal tissues. In contrast, only MUC1 levels increased with no significant changes in expression of MUC5B and MUC8 in cervical tumors over normal cervical tissues.

CONCLUSION

Endometrial tumors showed increased expression of MUC1, MUC5B and MUC8 over normal tissues. Only MUC1 appears to be increase, in cervical tumors. All the studied tissues showed high and consistent expression of MUC8 mRNA. Low to neglible levels of MUC2 and MUC5AC were observed in all studied endometrial and cervical tissues.

摘要

背景

黏蛋白糖蛋白是黏液的主要成分,被认为是一类重要的肿瘤相关抗原。本研究的目的是调查人类MUC基因(MUC1、MUC2、MUC5B、MUC5AC和MUC8)在人子宫内膜和子宫颈中的表达,并比较和定量正常组织与癌组织中MUC基因的表达。

方法

采用狭缝印迹技术研究MUC基因的表达和定量。

结果

在所研究的5种黏蛋白基因中,MUC1、MUC5B和MUC8在正常和癌性子宫内膜及宫颈组织中表达水平较高,MUC2和MUC5AC表达水平则低得多。统计学上,与正常组织相比,子宫内膜腺癌中MUC1、MUC5B和MUC8水平更高。相比之下,与正常宫颈组织相比,宫颈肿瘤中只有MUC1水平升高,MUC5B和MUC8表达无显著变化。

结论

与正常组织相比,子宫内膜肿瘤中MUC1、MUC5B和MUC8表达增加。宫颈肿瘤中似乎只有MUC1增加。所有研究组织中MUC8 mRNA均呈高且一致的表达。在所有研究的子宫内膜和宫颈组织中均观察到MUC2和MUC5AC水平低至可忽略不计。

https://cdn.ncbi.nlm.nih.gov/pmc/blobs/b868/1249559/cd29dd7e2071/1471-2407-5-124-1.jpg

文献AI研究员

20分钟写一篇综述,助力文献阅读效率提升50倍。

立即体验

用中文搜PubMed

大模型驱动的PubMed中文搜索引擎

马上搜索

文档翻译

学术文献翻译模型,支持多种主流文档格式。

立即体验