Suppr超能文献

吗啉代反义寡聚体对猪繁殖与呼吸综合征病毒复制的抑制作用

Suppression of porcine reproductive and respiratory syndrome virus replication by morpholino antisense oligomers.

作者信息

Zhang Yan-Jin, Stein David A, Fan Su-Min, Wang Kai-Yu, Kroeker Andrew D, Meng Xiang-Jin, Iversen Patrick L, Matson David O

机构信息

Center for Pediatric Research, Eastern Virginia Medical School, Norfolk, VA 23510, USA.

出版信息

Vet Microbiol. 2006 Oct 31;117(2-4):117-29. doi: 10.1016/j.vetmic.2006.06.006. Epub 2006 Jul 12.

Abstract

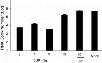
Porcine reproductive and respiratory syndrome virus (PRRSV) is the causative agent of a contagious disease characterized by reproductive failure in sows and respiratory disease in piglets. This infectious disease results in significant losses in the swine industry and specific anti-PRRSV drugs are needed. In this study, we evaluated a novel class of antisense compounds, peptide-conjugated phosphorodiamidate morpholino oligomers (P-PMOs), for their ability to suppress PRRSV replication in cell culture. P-PMOs are analogs of single-stranded DNA and contain a modified backbone that confers highly specific binding to RNA and resistance to nucleases. Of six P-PMOs tested, one ('5UP1'), with sequence complementary to the 5'-terminal 21 nucleotides of the PRRSV genome, was found to be highly effective at reducing PRRSV replication in a specific and dose-dependent manner in CRL11171 cells in culture. 5UP1 treatment generated up to a 4.5log reduction in infectious PRRSV yield, while a control P-PMO had no effect on viral titer. Immunofluorescence assay with an anti-PRRSV monoclonal antibody confirmed the titer observations. The sequence-specificity of 5UP1 effect was confirmed in part by a cell-free luciferase reporter assay system, which showed that 5UP1-mediated inhibition of translation decreased if the target-RNA contained mispairings in relation to the 5UP1 P-PMO. Real-time RT-PCR showed that the production of PRRSV negative-sense RNA was reduced if 5UP1 was added to cells at up to 6h post-virus inoculation. Cell viability assays detected no cytotoxicity of 5UP1 within the concentration-range of this study. These results indicate that P-PMO 5UP1 has potential as an anti-PRRSV agent.

摘要

猪繁殖与呼吸综合征病毒(PRRSV)是一种传染病的病原体,其特征是母猪繁殖失败和仔猪呼吸道疾病。这种传染病给养猪业造成了重大损失,因此需要特效抗PRRSV药物。在本研究中,我们评估了一类新型反义化合物,即肽缀合的磷二酰胺吗啉代寡聚物(P-PMO),在细胞培养中抑制PRRSV复制的能力。P-PMO是单链DNA的类似物,其修饰的骨架使其能够与RNA高度特异性结合并抵抗核酸酶。在所测试的六种P-PMO中,有一种(“5UP1”),其序列与PRRSV基因组5'-末端的21个核苷酸互补,发现在培养的CRL11171细胞中,它能以特异性和剂量依赖性方式高效降低PRRSV复制。5UP1处理使感染性PRRSV产量降低了高达4.5个对数,而对照P-PMO对病毒滴度没有影响。用抗PRRSV单克隆抗体进行的免疫荧光测定证实了滴度观察结果。无细胞荧光素酶报告基因检测系统部分证实了5UP1作用的序列特异性,该系统表明,如果靶RNA与5UP1 P-PMO存在错配,则5UP1介导的翻译抑制作用会降低。实时RT-PCR显示,如果在病毒接种后6小时内向细胞中加入5UP1,PRRSV负链RNA的产生会减少。细胞活力测定在本研究的浓度范围内未检测到5UP1的细胞毒性。这些结果表明,P-PMO 5UP1有潜力成为一种抗PRRSV药物。

https://cdn.ncbi.nlm.nih.gov/pmc/blobs/4601/7117520/24abe3973627/gr1.jpg

相似文献

1
Suppression of porcine reproductive and respiratory syndrome virus replication by morpholino antisense oligomers.
Vet Microbiol. 2006 Oct 31;117(2-4):117-29. doi: 10.1016/j.vetmic.2006.06.006. Epub 2006 Jul 12.
2
Peptide-conjugated morpholino oligomers inhibit porcine reproductive and respiratory syndrome virus replication.
Antiviral Res. 2008 Feb;77(2):95-107. doi: 10.1016/j.antiviral.2007.09.002. Epub 2007 Oct 4.
3
Enhanced inhibition of porcine reproductive and respiratory syndrome virus replication by combination of morpholino oligomers.
Antiviral Res. 2009 Apr;82(1):59-66. doi: 10.1016/j.antiviral.2009.01.009. Epub 2009 Feb 10.
4
Inhibition of porcine reproductive and respiratory syndrome virus infection in piglets by a peptide-conjugated morpholino oligomer.
Antiviral Res. 2011 Jul;91(1):36-42. doi: 10.1016/j.antiviral.2011.04.012. Epub 2011 Apr 30.
9
Inhibition of porcine reproductive and respiratory syndrome virus replication by short hairpin RNA in MARC-145 cells.
Vet Microbiol. 2006 Jul 20;115(4):302-10. doi: 10.1016/j.vetmic.2006.02.018. Epub 2006 Apr 11.

引用本文的文献

1
Inhibition of SARS-CoV-2 growth in the lungs of mice by a peptide-conjugated morpholino oligomer targeting viral RNA.
Mol Ther Nucleic Acids. 2024 Sep 10;35(4):102331. doi: 10.1016/j.omtn.2024.102331. eCollection 2024 Dec 10.
3
Antiviral Peptide-Based Conjugates: State of the Art and Future Perspectives.
Pharmaceutics. 2023 Jan 20;15(2):357. doi: 10.3390/pharmaceutics15020357.
6
Zika virus NS2A protein induces the degradation of KPNA2 (karyopherin subunit alpha 2) via chaperone-mediated autophagy.
Autophagy. 2020 Dec;16(12):2238-2251. doi: 10.1080/15548627.2020.1823122. Epub 2020 Sep 28.

本文引用的文献

4
Inhibition of dengue virus serotypes 1 to 4 in vero cell cultures with morpholino oligomers.
J Virol. 2005 Apr;79(8):5116-28. doi: 10.1128/JVI.79.8.5116-5128.2005.
6
Arginine-rich cell-penetrating peptides with uncharged antisense oligomers.
Drug Discov Today. 2004 Oct 15;9(20):870. doi: 10.1016/S1359-6446(04)03226-X.
8
Cellular uptake of antisense morpholino oligomers conjugated to arginine-rich peptides.
Bioconjug Chem. 2004 Mar-Apr;15(2):290-9. doi: 10.1021/bc034221g.
10
A potent and specific morpholino antisense inhibitor of hepatitis C translation in mice.
Hepatology. 2003 Aug;38(2):503-8. doi: 10.1053/jhep.2003.50330.

文献AI研究员

20分钟写一篇综述,助力文献阅读效率提升50倍。

立即体验

用中文搜PubMed

大模型驱动的PubMed中文搜索引擎

马上搜索

文档翻译

学术文献翻译模型,支持多种主流文档格式。

立即体验