Suppr超能文献

SIVmac239减毒活病毒株中RNA掺入及二聚化受损。

Impaired RNA incorporation and dimerization in live attenuated leader-variants of SIVmac239.

作者信息

Whitney James B, Wainberg Mark A

机构信息

McGill University AIDS Centre, Lady Davis Institute-Jewish General Hospital, Montreal, Quebec, H3T 1E2, Canada.

出版信息

Retrovirology. 2006 Dec 21;3:96. doi: 10.1186/1742-4690-3-96.

Abstract

BACKGROUND

The 5' untranslated region (UTR) or leader sequence of simian immunodeficiency virus (SIVmac239) is multifunctional and harbors the regulatory elements for viral replication, persistence, gene translation, expression, and the packaging and dimerization of viral genomic RNA (vRNA). We have constructed a series of deletions in the SIVmac239 leader sequence in order to determine the involvement of this region in both the packaging and dimerization of viral genomic RNA. We also assessed the impact of these deletions upon viral infectiousness, replication kinetics and gene expression in cell lines and monkey peripheral blood mononuclear cells (PBMC).

RESULTS

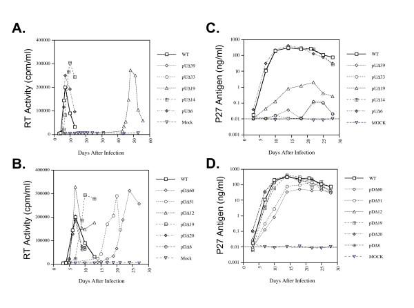
Regions on both sides of the major splice donor (SD) were found to be necessary for the efficiency and specificity of viral genome packaging. However, stem-loop1 is critical for both RNA encapsidation and dimerization. Downstream elements between the splice donor and the initiation site of SIV-Gag have additive effects on RNA packaging and contribute to a lesser degree to RNA dimerization. The targeted disruption of structures on both sides of the SD also severely impacts viral infectiousness, gene expression and replication in both CEMx174 cells and rhesus PBMC.

CONCLUSION

In the leader region of SIVmac239, stem-loop1 functions as the primary determinant for both RNA encapsidation and dimerization. Downstream elements between the splice donor and the translational initiation site of SIV-Gag are classified as secondary determinants and play a role in dimerization. Collectively, these data signify a linkage between the primary encapsidation determinant of SIVmac239 and RNA dimerization.

摘要

背景

猴免疫缺陷病毒(SIVmac239)的5'非翻译区(UTR)或前导序列具有多种功能,包含病毒复制、持续性、基因翻译、表达以及病毒基因组RNA(vRNA)包装和二聚化的调控元件。我们构建了一系列SIVmac239前导序列缺失突变体,以确定该区域在病毒基因组RNA包装和二聚化中的作用。我们还评估了这些缺失对细胞系和猴外周血单个核细胞(PBMC)中病毒感染性、复制动力学和基因表达的影响。

结果

发现主要剪接供体(SD)两侧的区域对于病毒基因组包装的效率和特异性是必需的。然而,茎环1对于RNA包装和二聚化都至关重要。剪接供体与SIV - Gag起始位点之间的下游元件对RNA包装有累加作用,对RNA二聚化的贡献较小。SD两侧结构的靶向破坏也严重影响CEMx174细胞和恒河猴PBMC中的病毒感染性、基因表达和复制。

结论

在SIVmac239的前导区域,茎环1作为RNA包装和二聚化的主要决定因素。剪接供体与SIV - Gag翻译起始位点之间的下游元件被归类为次要决定因素,并在二聚化中起作用。总体而言,这些数据表明SIVmac239的主要包装决定因素与RNA二聚化之间存在联系。

https://cdn.ncbi.nlm.nih.gov/pmc/blobs/58cd/1766366/99fcf506d16c/1742-4690-3-96-1.jpg

文献AI研究员

20分钟写一篇综述,助力文献阅读效率提升50倍。

立即体验

用中文搜PubMed

大模型驱动的PubMed中文搜索引擎

马上搜索

文档翻译

学术文献翻译模型,支持多种主流文档格式。

立即体验