• 文献检索
  • 文档翻译
  • 深度研究
  • 学术资讯
  • Suppr Zotero 插件Zotero 插件
  • 邀请有礼
  • 套餐&价格
  • 历史记录
应用&插件
Suppr Zotero 插件Zotero 插件浏览器插件Mac 客户端Windows 客户端微信小程序
定价
高级版会员购买积分包购买API积分包
服务
文献检索文档翻译深度研究API 文档MCP 服务
关于我们
关于 Suppr公司介绍联系我们用户协议隐私条款
关注我们

Suppr 超能文献

核心技术专利:CN118964589B侵权必究
粤ICP备2023148730 号-1Suppr @ 2026

文献检索

告别复杂PubMed语法,用中文像聊天一样搜索,搜遍4000万医学文献。AI智能推荐,让科研检索更轻松。

立即免费搜索

文件翻译

保留排版,准确专业,支持PDF/Word/PPT等文件格式,支持 12+语言互译。

免费翻译文档

深度研究

AI帮你快速写综述,25分钟生成高质量综述,智能提取关键信息,辅助科研写作。

立即免费体验

马里一个疫苗测试地点疟原虫疫苗抗原的多态性动态

Dynamics of polymorphism in a malaria vaccine antigen at a vaccine-testing site in Mali.

作者信息

Takala Shannon L, Coulibaly Drissa, Thera Mahamadou A, Dicko Alassane, Smith David L, Guindo Ando B, Kone Abdoulaye K, Traore Karim, Ouattara Amed, Djimde Abdoulaye A, Sehdev Paul S, Lyke Kirsten E, Diallo Dapa A, Doumbo Ogobara K, Plowe Christopher V

机构信息

Center for Vaccine Development, University of Maryland School of Medicine, Baltimore, Maryland, United States of America.

出版信息

PLoS Med. 2007 Mar;4(3):e93. doi: 10.1371/journal.pmed.0040093.

DOI:10.1371/journal.pmed.0040093
PMID:17355170
原文链接:https://pmc.ncbi.nlm.nih.gov/articles/PMC1820605/
Abstract

BACKGROUND

Malaria vaccines based on the 19-kDa region of merozoite surface protein 1 (MSP-1(19)) derived from the 3D7 strain of Plasmodium falciparum are being tested in clinical trials in Africa. Knowledge of the distribution and natural dynamics of vaccine antigen polymorphisms in populations in which malaria vaccines will be tested will guide vaccine design and permit distinction between natural fluctuations in genetic diversity and vaccine-induced selection.

METHODS AND FINDINGS

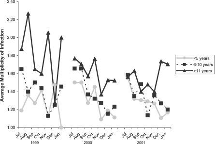
Using pyrosequencing, six single-nucleotide polymorphisms in the nucleotide sequence encoding MSP-1(19) were genotyped from 1,363 malaria infections experienced by 100 children who participated in a prospective cohort study in Mali from 1999 to 2001. The frequencies of 14 MSP-1(19) haplotypes were compared over the course of the malaria transmission season for all three years, in three age groups, and in consecutive infections within individuals. While the frequency of individual MSP-1(19) haplotypes fluctuated, haplotypes corresponding to FVO and FUP strains of P. falciparum (MSP-1(19) haplotypes QKSNGL and EKSNGL, respectively) were most prevalent during three consecutive years and in all age groups with overall prevalences of 46% (95% confidence interval [CI] 44%-49%) and 36% (95% CI 34%-39%), respectively. The 3D7 haplotype had a lower overall prevalence of 16% (95% CI 14%-18%). Multiplicity of infection based on MSP-1(19) was higher at the beginning of the transmission season and in the oldest individuals (aged > or =11 y). Three MSP-1(19) haplotypes had a reduced frequency in symptomatic infections compared to asymptomatic infections. Analyses of the dynamics of MSP-1(19) polymorphisms in consecutive infections implicate three polymorphisms (at positions 1691, 1700, and 1701) as being particularly important in determining allele specificity of anti-MSP-1(19) immunity.

CONCLUSIONS

Parasites with MSP-1(19) haplotypes different from that of the leading vaccine strain were consistently the most prevalent at a vaccine trial site. If immunity elicited by an MSP-1-based vaccine is allele-specific, a vaccine based on either the FVO or FUP strain might have better initial efficacy at this site. This study, to our knowledge the largest of its kind to date, provides molecular information needed to interpret population responses to MSP-1-based vaccines and suggests that certain MSP-1(19) polymorphisms may be relevant to cross-protective immunity.

摘要

背景

基于恶性疟原虫3D7株裂殖子表面蛋白1(MSP-1(19))19-kDa区域的疟疾疫苗正在非洲进行临床试验。了解疟疾疫苗试验人群中疫苗抗原多态性的分布和自然动态,将为疫苗设计提供指导,并有助于区分遗传多样性的自然波动和疫苗诱导的选择。

方法与结果

采用焦磷酸测序法,对1999年至2001年在马里参加前瞻性队列研究的100名儿童经历的1363次疟疾感染中编码MSP-1(19)的核苷酸序列中的6个单核苷酸多态性进行基因分型。在三年的疟疾传播季节中,比较了三个年龄组以及个体内连续感染中14种MSP-1(19)单倍型的频率。虽然单个MSP-1(19)单倍型的频率有所波动,但与恶性疟原虫FVO和FUP株相对应的单倍型(分别为MSP-1(19)单倍型QKSNGL和EKSNGL)在连续三年中以及所有年龄组中最为普遍,总体患病率分别为46%(95%置信区间[CI] 44%-49%)和36%(95% CI 34%-39%)。3D7单倍型的总体患病率较低,为16%(95% CI 14%-18%)。基于MSP-1(19)的感染多样性在传播季节开始时以及年龄最大的个体(年龄≥11岁)中较高。与无症状感染相比,三种MSP-1(19)单倍型在有症状感染中的频率降低。对连续感染中MSP-1(19)多态性动态的分析表明,三个多态性位点(第1691、1700和1701位)在确定抗MSP-1(19)免疫的等位基因特异性方面尤为重要。

结论

在一个疫苗试验地点,具有与主要疫苗株不同的MSP-1(19)单倍型的寄生虫始终是最普遍的。如果基于MSP-1的疫苗引发的免疫是等位基因特异性的,那么基于FVO或FUP株的疫苗在该地点可能具有更好的初始疗效。据我们所知,本研究是迄今为止同类研究中规模最大的,提供了解释人群对基于MSP-1的疫苗反应所需的分子信息,并表明某些MSP-1(19)多态性可能与交叉保护性免疫相关。

https://cdn.ncbi.nlm.nih.gov/pmc/blobs/5ac6/1831732/70a97f9b87d0/pmed.0040093.g007.jpg
https://cdn.ncbi.nlm.nih.gov/pmc/blobs/5ac6/1831732/836c2b12bea7/pmed.0040093.g001.jpg
https://cdn.ncbi.nlm.nih.gov/pmc/blobs/5ac6/1831732/4d0f8c8d5dd1/pmed.0040093.g002.jpg
https://cdn.ncbi.nlm.nih.gov/pmc/blobs/5ac6/1831732/a86c5a682449/pmed.0040093.g003.jpg
https://cdn.ncbi.nlm.nih.gov/pmc/blobs/5ac6/1831732/23ec095fb76d/pmed.0040093.g004.jpg
https://cdn.ncbi.nlm.nih.gov/pmc/blobs/5ac6/1831732/ed2022d57710/pmed.0040093.g005.jpg
https://cdn.ncbi.nlm.nih.gov/pmc/blobs/5ac6/1831732/a82bdd65b016/pmed.0040093.g006.jpg
https://cdn.ncbi.nlm.nih.gov/pmc/blobs/5ac6/1831732/70a97f9b87d0/pmed.0040093.g007.jpg
https://cdn.ncbi.nlm.nih.gov/pmc/blobs/5ac6/1831732/836c2b12bea7/pmed.0040093.g001.jpg
https://cdn.ncbi.nlm.nih.gov/pmc/blobs/5ac6/1831732/4d0f8c8d5dd1/pmed.0040093.g002.jpg
https://cdn.ncbi.nlm.nih.gov/pmc/blobs/5ac6/1831732/a86c5a682449/pmed.0040093.g003.jpg
https://cdn.ncbi.nlm.nih.gov/pmc/blobs/5ac6/1831732/23ec095fb76d/pmed.0040093.g004.jpg
https://cdn.ncbi.nlm.nih.gov/pmc/blobs/5ac6/1831732/ed2022d57710/pmed.0040093.g005.jpg
https://cdn.ncbi.nlm.nih.gov/pmc/blobs/5ac6/1831732/a82bdd65b016/pmed.0040093.g006.jpg
https://cdn.ncbi.nlm.nih.gov/pmc/blobs/5ac6/1831732/70a97f9b87d0/pmed.0040093.g007.jpg

相似文献

1
Dynamics of polymorphism in a malaria vaccine antigen at a vaccine-testing site in Mali.马里一个疫苗测试地点疟原虫疫苗抗原的多态性动态
PLoS Med. 2007 Mar;4(3):e93. doi: 10.1371/journal.pmed.0040093.
2
Effect of malaria transmission reduction by insecticide-treated bed nets (ITNs) on the genetic diversity of Plasmodium falciparum merozoite surface protein (MSP-1) and circumsporozoite (CSP) in western Kenya.肯尼亚西部因杀虫剂处理过的蚊帐减少疟疾传播对恶性疟原虫裂殖子表面蛋白(MSP-1)和环子孢子蛋白(CSP)遗传多样性的影响。
Malar J. 2013 Aug 27;12:295. doi: 10.1186/1475-2875-12-295.
3
A high-throughput method for quantifying alleles and haplotypes of the malaria vaccine candidate Plasmodium falciparum merozoite surface protein-1 19 kDa.一种用于定量疟疾疫苗候选物恶性疟原虫裂殖子表面蛋白-1 19千道尔顿的等位基因和单倍型的高通量方法。
Malar J. 2006 Apr 20;5:31. doi: 10.1186/1475-2875-5-31.
4
Short report: rare Plasmodium falciparum merozoite surface protein 1 19-kda (msp-1(19)) haplotypes identified in Mali using high-throughput genotyping methods.简短报告:使用高通量基因分型方法在马里鉴定出罕见的恶性疟原虫裂殖子表面蛋白1 19-kda(msp-1(19))单倍型。
Am J Trop Med Hyg. 2007 May;76(5):855-9.
5
Extensive diversity in the allelic frequency of Plasmodium falciparum merozoite surface proteins and glutamate-rich protein in rural and urban settings of southwestern Nigeria.在尼日利亚西南部的农村和城市环境中,恶性疟原虫裂殖子表面蛋白和谷氨酸丰富蛋白的等位基因频率存在广泛的多样性。
Malar J. 2018 Jan 2;17(1):1. doi: 10.1186/s12936-017-2149-5.
6
Lack of allele-specific efficacy of a bivalent AMA1 malaria vaccine.两价 AMA1 疟疾疫苗缺乏等位基因特异性疗效。
Malar J. 2010 Jun 21;9:175. doi: 10.1186/1475-2875-9-175.
7
Seasonal variations in Plasmodium falciparum genetic diversity and multiplicity of infection in asymptomatic children living in southern Ghana.季节性变化对生活在加纳南部无症状儿童中的疟原虫 falciparum 遗传多样性和多重感染的影响。
BMC Infect Dis. 2018 Aug 29;18(1):432. doi: 10.1186/s12879-018-3350-z.
8
Genetic diversity of Plasmodium falciparum isolates from patients with uncomplicated and severe malaria based on msp-1 and msp-2 genes in Gublak, North West Ethiopia.基于 msp-1 和 msp-2 基因在埃塞俄比亚西北部 Gublak 的单纯性和重症疟疾患者中的恶性疟原虫分离株的遗传多样性。
Malar J. 2019 Dec 10;18(1):413. doi: 10.1186/s12936-019-3039-9.
9
Geographical patterns of allelic diversity in the Plasmodium falciparum malaria-vaccine candidate, merozoite surface protein-2.恶性疟原虫疟疾疫苗候选物裂殖子表面蛋白-2中等位基因多样性的地理分布模式。
Ann Trop Med Parasitol. 2001 Mar;95(2):117-32. doi: 10.1080/00034980120045833.
10
No influence of the transmission season on genetic diversity and complexity of infections in Plasmodium falciparum isolates from Benin.传播季节对来自贝宁的恶性疟原虫分离株感染的遗传多样性和复杂性无影响。
Afr J Med Med Sci. 2001;30 Suppl:17-20.

引用本文的文献

1
Stable Plasmodium falciparum merozoite surface protein-1 allelic diversity despite decreasing parasitaemia in children with multiple malaria infections.尽管多重疟疾感染儿童的疟原虫血症有所下降,但恶性疟原虫裂殖子表面蛋白-1等位基因仍保持稳定多样。
Malar J. 2025 Apr 28;24(1):136. doi: 10.1186/s12936-025-05378-7.
2
Reticulocyte Binding Protein Homologue 5 is a target of balancing selection in the population of Papua New Guinea.网织红细胞结合蛋白同源物5是巴布亚新几内亚人群中平衡选择的一个靶点。
Front Parasitol. 2023 Dec 22;2:1288867. doi: 10.3389/fpara.2023.1288867. eCollection 2023.
3
A landscape review of malaria vaccine candidates in the pipeline.

本文引用的文献

1
Safety and allele-specific immunogenicity of a malaria vaccine in Malian adults: results of a phase I randomized trial.疟疾疫苗在马里成年人中的安全性及等位基因特异性免疫原性:一项I期随机试验的结果
PLoS Clin Trials. 2006 Nov 24;1(7):e34. doi: 10.1371/journal.pctr.0010034.
2
RTS,S/AS02A malaria vaccine does not induce parasite CSP T cell epitope selection and reduces multiplicity of infection.RTS,S/AS02A疟疾疫苗不会诱导寄生虫环子孢子蛋白(CSP)T细胞表位选择,并可降低感染复数。
PLoS Clin Trials. 2006 May;1(1):e5. doi: 10.1371/journal.pctr.0010005. Epub 2006 May 19.
3
A high-throughput method for quantifying alleles and haplotypes of the malaria vaccine candidate Plasmodium falciparum merozoite surface protein-1 19 kDa.
对正在研发的疟疾疫苗候选物的全景综述。
Trop Dis Travel Med Vaccines. 2024 Aug 1;10(1):19. doi: 10.1186/s40794-024-00222-3.
4
Natural immunity to malaria preferentially targets the endothelial protein C receptor-binding regions of PfEMP1s.疟原虫天然免疫主要针对 PfEMP1s 的内皮蛋白 C 受体结合区域。
mSphere. 2023 Oct 24;8(5):e0045123. doi: 10.1128/msphere.00451-23. Epub 2023 Oct 4.
5
A systematic review and meta-analysis on sub-microscopic infections in India: Different perspectives and global challenges.关于印度亚微观感染的系统评价与荟萃分析:不同视角与全球挑战
Lancet Reg Health Southeast Asia. 2022 May 28;2:100012. doi: 10.1016/j.lansea.2022.05.001. eCollection 2022 Jul.
6
Shifts in the clinical epidemiology of severe malaria after scaling up control strategies in Mali.在马里扩大疟疾控制策略后严重疟疾临床流行病学的变化。
Front Neurol. 2022 Nov 29;13:988960. doi: 10.3389/fneur.2022.988960. eCollection 2022.
7
Rare Alleles and Signatures of Selection on the Immunodominant Domains of Pfs230 and Pfs48/45 in Malaria Parasites From Western Kenya.肯尼亚西部疟原虫中Pfs230和Pfs48/45免疫显性结构域的罕见等位基因与选择特征
Front Genet. 2022 May 17;13:867906. doi: 10.3389/fgene.2022.867906. eCollection 2022.
8
Signatures of selection and drivers for novel mutation on transmission-blocking vaccine candidate Pfs25 gene in western Kenya.在肯尼亚西部,传播阻断疫苗候选基因 Pfs25 上新型突变的选择特征和驱动因素。
PLoS One. 2022 Apr 7;17(4):e0266394. doi: 10.1371/journal.pone.0266394. eCollection 2022.
9
Comparative analysis of the ex vivo IFN-gamma responses to CD8+ T cell epitopes within allelic forms of PfAMA1 in subjects with natural exposure to malaria.自然感染疟疾人群中 PfAMA1 等位基因形式内 CD8+ T 细胞表位的 IFN-gamma 体外反应的比较分析。
PLoS One. 2021 Sep 10;16(9):e0257219. doi: 10.1371/journal.pone.0257219. eCollection 2021.
10
Safety and PCR monitoring in 161 semi-immune Kenyan adults following controlled human malaria infection.161 名半免疫肯尼亚成年人在受控人体疟疾感染后安全性和 PCR 监测。
JCI Insight. 2021 Sep 8;6(17):e146443. doi: 10.1172/jci.insight.146443.
一种用于定量疟疾疫苗候选物恶性疟原虫裂殖子表面蛋白-1 19千道尔顿的等位基因和单倍型的高通量方法。
Malar J. 2006 Apr 20;5:31. doi: 10.1186/1475-2875-5-31.
4
Streptococcus pneumoniae serogroups 15 and 33: an increasing cause of pneumococcal infections in children in the United States after the introduction of the pneumococcal 7-valent conjugate vaccine.肺炎链球菌15和33血清型:在美国引入7价肺炎球菌结合疫苗后,儿童肺炎球菌感染的一个日益常见的病因。
Pediatr Infect Dis J. 2006 Apr;25(4):301-5. doi: 10.1097/01.inf.0000207484.52850.38.
5
Pre- and postvaccination clonal compositions of invasive pneumococcal serotypes for isolates collected in the United States in 1999, 2001, and 2002.1999年、2001年和2002年在美国收集的侵袭性肺炎球菌血清型分离株疫苗接种前后的克隆组成。
J Clin Microbiol. 2006 Mar;44(3):999-1017. doi: 10.1128/JCM.44.3.999-1017.2006.
6
Phase 1 randomized double-blind safety and immunogenicity trial of Plasmodium falciparum malaria merozoite surface protein FMP1 vaccine, adjuvanted with AS02A, in adults in western Kenya.在肯尼亚西部成年人中开展的1期随机双盲安全性和免疫原性试验,该试验用AS02A佐剂的恶性疟原虫裂殖子表面蛋白FMP1疫苗。
Vaccine. 2007 Jan 2;25(1):176-84. doi: 10.1016/j.vaccine.2005.11.037. Epub 2005 Dec 7.
7
Phase I safety and immunogenicity trial of FMP1/AS02A, a Plasmodium falciparum MSP-1 asexual blood stage vaccine.恶性疟原虫 MSP-1 无性血液期疫苗 FMP1/AS02A 的 I 期安全性和免疫原性试验
Vaccine. 2006 Apr 5;24(15):3009-17. doi: 10.1016/j.vaccine.2005.11.028. Epub 2005 Nov 28.
8
Impact of genetic diversity of HIV-1 on diagnosis, antiretroviral therapy & vaccine development.HIV-1基因多样性对诊断、抗逆转录病毒治疗及疫苗研发的影响。
Indian J Med Res. 2005 Apr;121(4):287-314.
9
Estimating medium- and long-term trends in malaria transmission by using serological markers of malaria exposure.利用疟疾暴露血清学标志物评估疟疾传播的中长期趋势。
Proc Natl Acad Sci U S A. 2005 Apr 5;102(14):5108-13. doi: 10.1073/pnas.0408725102. Epub 2005 Mar 25.
10
Efficacy of the RTS,S/AS02A vaccine against Plasmodium falciparum infection and disease in young African children: randomised controlled trial.RTS,S/AS02A疫苗对非洲幼儿恶性疟原虫感染及疾病的疗效:随机对照试验
Lancet. 2004;364(9443):1411-20. doi: 10.1016/S0140-6736(04)17223-1.