Suppr超能文献

地塞米松对体外红细胞生成的增强作用。

Potentiation of erythropoiesis in vitro by dexamethasone.

作者信息

Golde D W, Bersch N, Cline M J

出版信息

J Clin Invest. 1976 Jan;57(1):57-62. doi: 10.1172/JCI108269.

Abstract

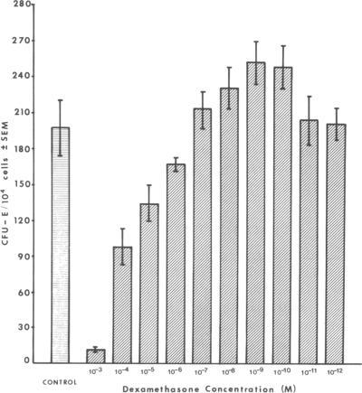
The effect of dexamethasone on erythropoiesis was examined in vitro. Hematopoietic cells from 13-day mouse fetal livers were cultured for 48 h in the presence or absence of erythropoietin and erythroid colonies enumerated. Colony formation occurring in cultures containing no added erythropoietin was inhibited by the incorporation of antierythropoietin antibody, suggesting that these colonies formed in response to endogenous hepatic erythropoietin. Maximal colony formation was observed with 0.5 U/ml of sheep erythropoietin. Dexamethasone increased erythroid colony formation with peak stimulation at 10(-9) M. Dexamethasone potentiation was most marked in cultures containing less than maximally stimulating concentrations of erythropoietin. The cells required only a brief exposure to glucocorticosteroid to exhibit the augmented cloning capacity, and dexamethasone stimulation was inhibited by progesterone (10(-6) M). A comparable response to dexamethasone was observed in cultures of adult murine and human bone marrow erythroid progenitors, implying that the phenomenon is not peculiar to fetal cells and is not dependent on the presence of fetal hepatocytes. These data suggest that erythroid progenitor cells possess a glucocorticoid receptor mechanism that can modulate the response to erythropoietin in vitro.

摘要

在地塞米松对红细胞生成的作用进行了体外研究。从13天龄小鼠胎儿肝脏获取的造血细胞在有或无促红细胞生成素的情况下培养48小时,并对红细胞集落进行计数。在不添加促红细胞生成素的培养物中出现的集落形成受到抗促红细胞生成素抗体的抑制,这表明这些集落是对内源性肝脏促红细胞生成素的反应而形成的。用0.5 U/ml的绵羊促红细胞生成素观察到最大集落形成。地塞米松增加了红细胞集落的形成,在10(-9)M时刺激达到峰值。地塞米松的增强作用在含有低于最大刺激浓度促红细胞生成素的培养物中最为明显。细胞仅需短暂暴露于糖皮质激素即可表现出增强的克隆能力,并且地塞米松刺激受到孕酮(10(-6)M)的抑制。在成年小鼠和人类骨髓红细胞祖细胞培养物中观察到对地塞米松的类似反应,这意味着该现象并非胎儿细胞所特有,也不依赖于胎儿肝细胞的存在。这些数据表明,红细胞祖细胞具有一种糖皮质激素受体机制,可在体外调节对促红细胞生成素的反应。

https://cdn.ncbi.nlm.nih.gov/pmc/blobs/2149/436625/0bbde19a7f8c/jcinvest00144-0068-a.jpg

文献检索

告别复杂PubMed语法,用中文像聊天一样搜索,搜遍4000万医学文献。AI智能推荐,让科研检索更轻松。

立即免费搜索

文件翻译

保留排版,准确专业,支持PDF/Word/PPT等文件格式,支持 12+语言互译。

免费翻译文档

深度研究

AI帮你快速写综述,25分钟生成高质量综述,智能提取关键信息,辅助科研写作。

立即免费体验