• 文献检索
  • 文档翻译
  • 深度研究
  • 学术资讯
  • Suppr Zotero 插件Zotero 插件
  • 邀请有礼
  • 套餐&价格
  • 历史记录
应用&插件
Suppr Zotero 插件Zotero 插件浏览器插件Mac 客户端Windows 客户端微信小程序
定价
高级版会员购买积分包购买API积分包
服务
文献检索文档翻译深度研究API 文档MCP 服务
关于我们
关于 Suppr公司介绍联系我们用户协议隐私条款
关注我们

Suppr 超能文献

核心技术专利:CN118964589B侵权必究
粤ICP备2023148730 号-1Suppr @ 2026

文献检索

告别复杂PubMed语法,用中文像聊天一样搜索,搜遍4000万医学文献。AI智能推荐,让科研检索更轻松。

立即免费搜索

文件翻译

保留排版,准确专业,支持PDF/Word/PPT等文件格式,支持 12+语言互译。

免费翻译文档

深度研究

AI帮你快速写综述,25分钟生成高质量综述,智能提取关键信息,辅助科研写作。

立即免费体验

心肌梗死发病前危险因素及冠心病诊断的性别特异性频率:一项社区研究。

The gender specific frequency of risk factor and CHD diagnoses prior to incident MI: a community study.

作者信息

Yawn Barbara P, Wollan Peter C, Yawn Roy A, Jacobsen Steven J, Roger Veronique

机构信息

Department of Research, Olmsted Medical Center, Rochester, MN, USA.

出版信息

BMC Fam Pract. 2007 Apr 4;8:18. doi: 10.1186/1471-2296-8-18.

DOI:10.1186/1471-2296-8-18
PMID:17408489
原文链接:https://pmc.ncbi.nlm.nih.gov/articles/PMC1853095/
Abstract

BACKGROUND

CHD is a chronic disease often present years prior to incident AMI. Earlier recognition of CHD may be associated with higher levels of recognition and treatment of CHD risk factors that may delay incident AMI. To assess timing of CHD and CHD risk factor diagnoses prior to incident AMI.

METHODS

This is a 10-year population based medical record review study that included all medical care providers in Olmsted County, Minnesota for all women and a sample of men residing in Olmsted County, MN with confirmed incident AMI between 1995 and 2000.

RESULTS

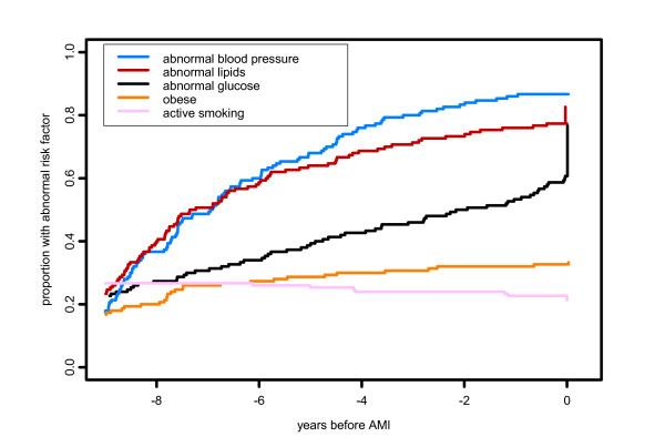
All medical care for the 10 years prior to incident AMI was reviewed for 150 women and 148 men (38% sample) in Olmsted County, MN. On average, women were older than men at the time of incident AMI (74.7 versus 65.9 years, p < 0.0001). 30.4% of the men and 52.0% of the women received diagnoses of CHD prior to incident AMI (p = 0.0002). Unrecognized and untreated CHD risk factors were present in both men (45% of men 5 years prior to AMI) and women (22% of women 5 years prior to first AMI), more common in men and those without a diagnosis of CHD prior to incident AMI (p < 0.0001).

CONCLUSION

A CHD diagnosis prior to incident AMI is associated with higher rates of recognition and treatment of CHD risk factors suggesting that diagnosing CHD prior to AMI enhances opportunities to lower the risk of future CHD events.

摘要

背景

冠心病是一种慢性疾病,常在急性心肌梗死发生前数年就已存在。更早识别冠心病可能与对冠心病危险因素更高水平的识别和治疗相关,这可能会延迟急性心肌梗死的发生。目的是评估急性心肌梗死发生前冠心病及冠心病危险因素的诊断时间。

方法

这是一项基于10年人口的病历回顾研究,纳入了明尼苏达州奥尔姆斯特德县的所有医疗服务提供者,包括所有女性以及居住在明尼苏达州奥尔姆斯特德县、在1995年至2000年间确诊急性心肌梗死的男性样本。

结果

对明尼苏达州奥尔姆斯特德县150名女性和148名男性(38%的样本)急性心肌梗死发生前10年的所有医疗记录进行了回顾。急性心肌梗死发生时,女性平均年龄大于男性(74.7岁对65.9岁,p<0.0001)。30.4%的男性和52.0%的女性在急性心肌梗死发生前被诊断为冠心病(p = 0.(此处原文有误,应为0.0002))。男性(急性心肌梗死发生前5年,45%的男性)和女性(首次急性心肌梗死发生前5年,22%的女性)均存在未被识别和未治疗的冠心病危险因素,在男性以及急性心肌梗死发生前未被诊断为冠心病的人群中更为常见(p<0.0001)。

结论

急性心肌梗死发生前的冠心病诊断与冠心病危险因素更高的识别和治疗率相关,这表明在急性心肌梗死发生前诊断冠心病可增加降低未来冠心病事件风险的机会。

https://cdn.ncbi.nlm.nih.gov/pmc/blobs/ff90/1853095/0716e34db245/1471-2296-8-18-2.jpg
https://cdn.ncbi.nlm.nih.gov/pmc/blobs/ff90/1853095/e5a046244578/1471-2296-8-18-1.jpg
https://cdn.ncbi.nlm.nih.gov/pmc/blobs/ff90/1853095/0716e34db245/1471-2296-8-18-2.jpg
https://cdn.ncbi.nlm.nih.gov/pmc/blobs/ff90/1853095/e5a046244578/1471-2296-8-18-1.jpg
https://cdn.ncbi.nlm.nih.gov/pmc/blobs/ff90/1853095/0716e34db245/1471-2296-8-18-2.jpg

相似文献

1
The gender specific frequency of risk factor and CHD diagnoses prior to incident MI: a community study.心肌梗死发病前危险因素及冠心病诊断的性别特异性频率:一项社区研究。
BMC Fam Pract. 2007 Apr 4;8:18. doi: 10.1186/1471-2296-8-18.
2
Identification of women's coronary heart disease and risk factors prior to first myocardial infarction.首次心肌梗死之前女性冠心病及危险因素的识别。
J Womens Health (Larchmt). 2004 Dec;13(10):1087-100. doi: 10.1089/jwh.2004.13.1087.
3
Coronary disease surveillance in Olmsted County objectives and methodology.奥尔姆斯特德县冠心病监测:目标与方法
J Clin Epidemiol. 2002 Jun;55(6):593-601. doi: 10.1016/s0895-4356(02)00390-6.
4
Gender differences in use of stress testing and coronary heart disease mortality: a population-based study in Olmsted County, Minnesota.压力测试的使用与冠心病死亡率的性别差异:明尼苏达州奥尔姆斯特德县的一项基于人群的研究。
J Am Coll Cardiol. 1998 Aug;32(2):345-52. doi: 10.1016/s0735-1097(98)00229-0.
5
Lifelong Gender Gap in Risk of Incident Myocardial Infarction: The Tromsø Study.终生性别差距与心肌梗死发病风险:特罗姆瑟研究。
JAMA Intern Med. 2016 Nov 1;176(11):1673-1679. doi: 10.1001/jamainternmed.2016.5451.
6
The gender-specific impact of diabetes and myocardial infarction at baseline and during follow-up on mortality from all causes and coronary heart disease.糖尿病和心肌梗死在基线及随访期间对全因死亡率和冠心病死亡率的性别特异性影响。
J Am Coll Cardiol. 2005 May 3;45(9):1413-8. doi: 10.1016/j.jacc.2005.01.039.
7
Impact of age on excess risk of coronary heart disease in patients with familial hypercholesterolaemia.年龄对家族性高胆固醇血症患者冠心病超额风险的影响。
Heart. 2018 Oct;104(19):1600-1607. doi: 10.1136/heartjnl-2017-312706. Epub 2018 Apr 5.
8
Trends in acute coronary heart disease mortality, morbidity, and medical care from 1985 through 1997: the Minnesota heart survey.1985年至1997年急性冠心病死亡率、发病率及医疗护理趋势:明尼苏达心脏调查
Circulation. 2001 Jul 3;104(1):19-24. doi: 10.1161/01.cir.104.1.19.
9
Social relations in late adolescence and incident coronary heart disease: a 38-year follow-up of the Swedish 1969-1970 Conscription Cohort.晚期青春期的社会关系与冠心病事件:瑞典 1969-1970 年兵役队列的 38 年随访。
BMJ Open. 2019 Dec 9;9(12):e030880. doi: 10.1136/bmjopen-2019-030880.
10
Sex Differences in Incident and Recurrent Coronary Events and All-Cause Mortality.性别差异与新发和复发性冠心病事件及全因死亡率。
J Am Coll Cardiol. 2020 Oct 13;76(15):1751-1760. doi: 10.1016/j.jacc.2020.08.027.

引用本文的文献

1
Risk of Stroke and Myocardial Infarction After Herpes Zoster in Older Adults in a US Community Population.美国社区老年人群带状疱疹后发生中风和心肌梗死的风险
Mayo Clin Proc. 2016 Jan;91(1):33-44. doi: 10.1016/j.mayocp.2015.09.015. Epub 2015 Dec 15.

本文引用的文献

1
Interrater reliability: completing the methods description in medical records review studies.评分者间信度:在病历回顾研究中完成方法描述
Am J Epidemiol. 2005 May 15;161(10):974-7. doi: 10.1093/aje/kwi122.
2
Major risk factors as antecedents of fatal and nonfatal coronary heart disease events.作为致命和非致命冠心病事件先兆的主要危险因素。
JAMA. 2003 Aug 20;290(7):891-7. doi: 10.1001/jama.290.7.891.
3
Results of systematic review of research on diagnosis and treatment of coronary heart disease in women.女性冠心病诊断与治疗研究的系统评价结果
Evid Rep Technol Assess (Summ). 2003 May(80):1-4.
4
Diagnosis and treatment of coronary heart disease in women: systematic reviews of evidence on selected topics.女性冠心病的诊断与治疗:特定主题证据的系统评价
Evid Rep Technol Assess (Summ). 2003 May(81):1-4.
5
Effect of pravastatin on cardiovascular events and mortality in 1516 women with coronary heart disease: results from the Long-Term Intervention with Pravastatin in Ischemic Disease (LIPID) study.普伐他汀对1516例冠心病女性患者心血管事件及死亡率的影响:缺血性疾病普伐他汀长期干预研究(LIPID研究)结果
Am Heart J. 2003 Apr;145(4):643-51. doi: 10.1067/mhj.2003.1.
6
Secondary prevention of coronary heart disease in women: a call to action.女性冠心病的二级预防:行动呼吁
Ann Intern Med. 2003 Jan 21;138(2):150-1. doi: 10.7326/0003-4819-138-2-200301210-00017.
7
Women do benefit from lipid lowering: latest clinical trial data.女性确实能从降脂治疗中获益:最新临床试验数据。
Cardiol Rev. 2003 Jan-Feb;11(1):4-12. doi: 10.1097/00045415-200301000-00003.
8
Third Report of the National Cholesterol Education Program (NCEP) Expert Panel on Detection, Evaluation, and Treatment of High Blood Cholesterol in Adults (Adult Treatment Panel III) final report.美国国家胆固醇教育计划(NCEP)成人高血胆固醇检测、评估与治疗专家小组第三次报告(成人治疗小组第三次报告)最终报告。
Circulation. 2002 Dec 17;106(25):3143-421.
9
Women and coronary heart disease risk factors.女性与冠心病风险因素
J Cardiovasc Risk. 2002 Dec;9(6):315-22. doi: 10.1097/01.hjr.0000044514.34172.4d.
10
Unraveling the mysteries of timing: women's perceptions about time to treatment for cardiac symptoms.揭开时间的奥秘:女性对心脏症状治疗时机的认知
Soc Sci Med. 2003 Jan;56(2):271-84. doi: 10.1016/s0277-9536(02)00026-6.