• 文献检索
  • 文档翻译
  • 深度研究
  • 学术资讯
  • Suppr Zotero 插件Zotero 插件
  • 邀请有礼
  • 套餐&价格
  • 历史记录
应用&插件
Suppr Zotero 插件Zotero 插件浏览器插件Mac 客户端Windows 客户端微信小程序
定价
高级版会员购买积分包购买API积分包
服务
文献检索文档翻译深度研究API 文档MCP 服务
关于我们
关于 Suppr公司介绍联系我们用户协议隐私条款
关注我们

Suppr 超能文献

核心技术专利:CN118964589B侵权必究
粤ICP备2023148730 号-1Suppr @ 2026

文献检索

告别复杂PubMed语法,用中文像聊天一样搜索,搜遍4000万医学文献。AI智能推荐,让科研检索更轻松。

立即免费搜索

文件翻译

保留排版,准确专业,支持PDF/Word/PPT等文件格式,支持 12+语言互译。

免费翻译文档

深度研究

AI帮你快速写综述,25分钟生成高质量综述,智能提取关键信息,辅助科研写作。

立即免费体验

脐带血和成人血白细胞的细胞因子谱:表达差异归因于转录因子表达和激活的差异。

Cytokine profiles of cord and adult blood leukocytes: differences in expression are due to differences in expression and activation of transcription factors.

作者信息

Nitsche Andreas, Zhang Meixia, Clauss Theresa, Siegert Wolfgang, Brune Kay, Pahl Andreas

机构信息

Charité - CCM, CC14 Haematology/Oncology, Charitéplatz 1, 10117 Berlin, Germany.

出版信息

BMC Immunol. 2007 Aug 31;8:18. doi: 10.1186/1471-2172-8-18.

DOI:10.1186/1471-2172-8-18
PMID:17764543
原文链接:https://pmc.ncbi.nlm.nih.gov/articles/PMC2018703/
Abstract

BACKGROUND

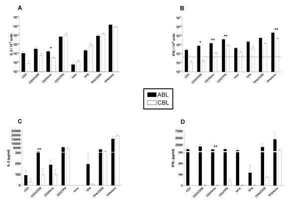
Stem cell transplantation as therapy for hematological disorders is often hampered by severe graft-versus-host-disease. This may be reduced by umbilical cord blood transplantation, an effect that has been attributed to qualitative differences between neonatal and adult T cells. We compared levels of secreted proteins and cytokine mRNA induced in cord blood leukocytes (CBL) and adult blood leukocytes (ABL) by various stimuli.

RESULTS

While interleukin-2 (IL-2) levels were similar in CBL and ABL, there was less induction of the Th1 cytokine interferon-gamma in CBL. Production of the Th2 cytokines IL-4, IL-5, and IL-13 and the hematopoietic cytokine IL-3 was much lower in CBL versus ABL after T-cell receptor-mediated stimulation, whereas production of GM-CSF was comparable in the 2 cell types. The lower levels of Th1 and Th2 cytokines were maintained in CBL during a 4-day time-course study, while after 12 hours IL-3 and GM-CSF reached in CBL levels similar to those in ABL. For all cytokines except IFN gamma, the IC50 values for inhibition by cyclosporin A were similar in ABL and CBL. In contrast, there was less expression and activation of transcription factors in CBL. Activation of NF-kappaB by TPA/ionomycin was detected in ABL but not CBL. Furthermore, there was less expression of the Th subset-specific transcription factors T-bet and c-maf in CBL versus ABL, whereas GATA-3 expression was similar. Expression of T-bet and c-maf correlated with expression of the Th1 and Th2 cytokines, respectively. Time course experiments revealed that T-bet expression was stimulated in both cell types, whereas c-maf and GATA-3 were induced only in ABL.

CONCLUSION

The diminished capability of CBL to synthesize cytokines is probably due to decreased activation of NF-kappaB, whereas differences in Th subsets are due to differences in regulation of Th lineage-specific transcriptions factors. We propose that the reduced incidence and severity of GvHD after allogeneic transplantation of umbilical CB cells is due to lesser activation of specific transcription factors and a subsequent reduction in production of certain cytokines.

摘要

背景

干细胞移植作为血液系统疾病的治疗方法,常因严重的移植物抗宿主病而受阻。脐带血移植可能会降低这种情况,这种效果归因于新生儿和成人T细胞之间的质量差异。我们比较了各种刺激物诱导脐带血白细胞(CBL)和成人血白细胞(ABL)分泌的蛋白质和细胞因子mRNA的水平。

结果

虽然CBL和ABL中的白细胞介素-2(IL-2)水平相似,但CBL中Th1细胞因子干扰素-γ的诱导较少。在T细胞受体介导的刺激后,CBL中Th2细胞因子IL-4、IL-5和IL-13以及造血细胞因子IL-3的产生远低于ABL,而GM-CSF在两种细胞类型中的产生相当。在为期4天的时间进程研究中,CBL中Th1和Th2细胞因子的水平保持较低,而12小时后CBL中IL-3和GM-CSF达到与ABL相似的水平。除IFNγ外,环孢素A抑制所有细胞因子的IC50值在ABL和CBL中相似。相反,CBL中转录因子的表达和激活较少。在ABL中检测到TPA/离子霉素激活NF-κB,但在CBL中未检测到。此外,与ABL相比,CBL中Th亚群特异性转录因子T-bet和c-maf的表达较少,而GATA-3表达相似。T-bet和c-maf的表达分别与Th1和Th2细胞因子的表达相关。时间进程实验表明,两种细胞类型中T-bet表达均受到刺激,而c-maf和GATA-3仅在ABL中被诱导。

结论

CBL合成细胞因子的能力下降可能是由于NF-κB激活减少,而Th亚群的差异是由于Th谱系特异性转录因子调控的差异。我们提出,同种异体脐带血移植后移植物抗宿主病的发生率和严重程度降低是由于特定转录因子的激活较少以及随后某些细胞因子产生的减少。

https://cdn.ncbi.nlm.nih.gov/pmc/blobs/4f91/2018703/5d0712555044/1471-2172-8-18-7.jpg
https://cdn.ncbi.nlm.nih.gov/pmc/blobs/4f91/2018703/1228bcec6aeb/1471-2172-8-18-1.jpg
https://cdn.ncbi.nlm.nih.gov/pmc/blobs/4f91/2018703/53633ff121e3/1471-2172-8-18-2.jpg
https://cdn.ncbi.nlm.nih.gov/pmc/blobs/4f91/2018703/c935c0757d37/1471-2172-8-18-3.jpg
https://cdn.ncbi.nlm.nih.gov/pmc/blobs/4f91/2018703/62ba5b2aafdf/1471-2172-8-18-4.jpg
https://cdn.ncbi.nlm.nih.gov/pmc/blobs/4f91/2018703/66efaca7c2c3/1471-2172-8-18-5.jpg
https://cdn.ncbi.nlm.nih.gov/pmc/blobs/4f91/2018703/defa08656ca3/1471-2172-8-18-6.jpg
https://cdn.ncbi.nlm.nih.gov/pmc/blobs/4f91/2018703/5d0712555044/1471-2172-8-18-7.jpg
https://cdn.ncbi.nlm.nih.gov/pmc/blobs/4f91/2018703/1228bcec6aeb/1471-2172-8-18-1.jpg
https://cdn.ncbi.nlm.nih.gov/pmc/blobs/4f91/2018703/53633ff121e3/1471-2172-8-18-2.jpg
https://cdn.ncbi.nlm.nih.gov/pmc/blobs/4f91/2018703/c935c0757d37/1471-2172-8-18-3.jpg
https://cdn.ncbi.nlm.nih.gov/pmc/blobs/4f91/2018703/62ba5b2aafdf/1471-2172-8-18-4.jpg
https://cdn.ncbi.nlm.nih.gov/pmc/blobs/4f91/2018703/66efaca7c2c3/1471-2172-8-18-5.jpg
https://cdn.ncbi.nlm.nih.gov/pmc/blobs/4f91/2018703/defa08656ca3/1471-2172-8-18-6.jpg
https://cdn.ncbi.nlm.nih.gov/pmc/blobs/4f91/2018703/5d0712555044/1471-2172-8-18-7.jpg

相似文献

1
Cytokine profiles of cord and adult blood leukocytes: differences in expression are due to differences in expression and activation of transcription factors.脐带血和成人血白细胞的细胞因子谱:表达差异归因于转录因子表达和激活的差异。
BMC Immunol. 2007 Aug 31;8:18. doi: 10.1186/1471-2172-8-18.
2
Elevated gene expression of Th1/Th2 associated transcription factors is correlated with disease activity in patients with systemic lupus erythematosus.Th1/Th2相关转录因子的基因表达升高与系统性红斑狼疮患者的疾病活动相关。
J Rheumatol. 2007 Jan;34(1):89-96. Epub 2006 Nov 15.
3
Cytokine mRNA expression in hepatitis C virus infection: TH1 predominance in patients with chronic hepatitis C and TH1-TH2 cytokine profile in subjects with self-limited disease.丙型肝炎病毒感染中细胞因子mRNA的表达:慢性丙型肝炎患者以TH1为主,自限性疾病患者呈现TH1-TH2细胞因子谱。
J Viral Hepat. 2008 Feb;15(2):145-54. doi: 10.1111/j.1365-2893.2007.00908.x.
4
The effects of electroacupuncture on TH1/TH2 cytokine mRNA expression and mitogen-activated protein kinase signaling pathways in the splenic T cells of traumatized rats.电针对创伤大鼠脾T细胞中TH1/TH2细胞因子mRNA表达及丝裂原活化蛋白激酶信号通路的影响
Anesth Analg. 2009 Nov;109(5):1666-73. doi: 10.1213/ANE.0b013e3181b5a234.
5
[Imbalanced T cell-specific transcription factors T-bet and GATA-3 contributes to type 2 T helper cell polarization in asthmatic patients].[失衡的T细胞特异性转录因子T-bet和GATA-3促成哮喘患者2型辅助性T细胞极化]
Zhonghua Jie He He Hu Xi Za Zhi. 2004 Jun;27(6):398-402.
6
Effect of treatment of rheumatoid arthritis with infliximab on IFN gamma, IL4, T-bet, and GATA-3 expression: link with improvement of systemic inflammation and disease activity.英夫利昔单抗治疗类风湿关节炎对IFN-γ、IL-4、T-bet和GATA-3表达的影响:与全身炎症和疾病活动改善的关联
Ann Rheum Dis. 2005 Mar;64(3):415-8. doi: 10.1136/ard.2004.022731. Epub 2004 Jul 29.
7
Differential effects of IFN-alpha on the expression of various TH2 cytokines in human CD4+ T cells.干扰素-α对人CD4+ T细胞中多种TH2细胞因子表达的差异影响。
J Allergy Clin Immunol. 2005 Jul;116(1):205-12. doi: 10.1016/j.jaci.2005.03.016.
8
Immunoregulatory effects of sinomenine on the T-bet/GATA-3 ratio and Th1/Th2 cytokine balance in the treatment of mesangial proliferative nephritis.青藤碱对系膜增生性肾炎治疗中T-bet/GATA-3比值及Th1/Th2细胞因子平衡的免疫调节作用
Int Immunopharmacol. 2009 Jul;9(7-8):894-9. doi: 10.1016/j.intimp.2009.03.014. Epub 2009 Mar 29.
9
IL-12 up-regulates T-bet independently of IFN-gamma in human CD4+ T cells.在人类CD4+ T细胞中,白细胞介素-12独立于γ干扰素上调T-bet。
Eur J Immunol. 2005 Nov;35(11):3297-306. doi: 10.1002/eji.200526101.
10
Sustained T-bet expression confers polarized human TH2 cells with TH1-like cytokine production and migratory capacities.持续的T-bet表达赋予极化的人TH2细胞产生TH1样细胞因子的能力和迁移能力。
J Allergy Clin Immunol. 2004 May;113(5):987-94. doi: 10.1016/j.jaci.2004.02.004.

引用本文的文献

1
New player in CAR-T manufacture field: comparison of umbilical cord to peripheral blood strategies.嵌合抗原受体T细胞(CAR-T)制造领域的新参与者:脐带血与外周血策略的比较
Front Immunol. 2025 Mar 21;16:1561174. doi: 10.3389/fimmu.2025.1561174. eCollection 2025.
2
Recent updates on allogeneic CAR-T cells in hematological malignancies.血液系统恶性肿瘤中同种异体嵌合抗原受体T细胞的最新进展。
Cancer Cell Int. 2024 Sep 3;24(1):304. doi: 10.1186/s12935-024-03479-y.
3
Mechanisms of resistance to chimeric antigen receptor-T cells in haematological malignancies.

本文引用的文献

1
The T-box transcription factor T-bet in immunity and autoimmunity.免疫与自身免疫中的T盒转录因子T-bet
Cell Mol Immunol. 2006 Apr;3(2):87-95.
2
Contemporaneous maturation of immunologic and respiratory functions during early childhood: implications for development of asthma prevention strategies.儿童早期免疫和呼吸功能的同步成熟:对哮喘预防策略发展的影响。
J Allergy Clin Immunol. 2005 Jul;116(1):16-24; quiz 25. doi: 10.1016/j.jaci.2005.04.017.
3
Inhibitors of mitogen-activated protein kinases differentially regulate costimulated T cell cytokine production and mouse airway eosinophilia.
血液恶性肿瘤中嵌合抗原受体 T 细胞耐药的机制。
Nat Rev Drug Discov. 2023 Dec;22(12):976-995. doi: 10.1038/s41573-023-00807-1. Epub 2023 Oct 31.
4
Immunology of cord blood T-cells favors augmented disease response during clinical pediatric stem cell transplantation for acute leukemia.在儿童急性白血病临床干细胞移植中,脐血T细胞免疫有利于增强疾病反应。
Front Pediatr. 2023 Sep 13;11:1232281. doi: 10.3389/fped.2023.1232281. eCollection 2023.
5
Molecular Profiling of Inflammatory Mediators in Human Respiratory Syncytial Virus and Human Bocavirus Infection.人类呼吸道合胞病毒和人类博卡病毒感染中炎症介质的分子谱分析。
Genes (Basel). 2023 May 17;14(5):1101. doi: 10.3390/genes14051101.
6
Umbilical Cord Blood as a Source of Less Differentiated T Cells to Produce CD123 CAR-T Cells.脐带血作为低分化T细胞来源用于生产CD123嵌合抗原受体T细胞
Cancers (Basel). 2022 Jun 28;14(13):3168. doi: 10.3390/cancers14133168.
7
CAR T Cell Therapy for Chronic Lymphocytic Leukemia: Successes and Shortcomings.嵌合抗原受体 T 细胞疗法治疗慢性淋巴细胞白血病:成功与不足。
Curr Oncol. 2022 May 18;29(5):3647-3657. doi: 10.3390/curroncol29050293.
8
Serum Cytokine Profile, Beta-Hexosaminidase A Enzymatic Activity and GM Ganglioside Levels in the Plasma of a Tay-Sachs Disease Patient after Cord Blood Cell Transplantation and Curcumin Administration: A Case Report.脐血细胞移植和给予姜黄素后一名泰-萨克斯病患者血浆中的血清细胞因子谱、β-己糖胺酶A酶活性及GM神经节苷脂水平:病例报告
Life (Basel). 2021 Sep 24;11(10):1007. doi: 10.3390/life11101007.
9
Allogeneic CAR T Cells: An Alternative to Overcome Challenges of CAR T Cell Therapy in Glioblastoma.异体 CAR T 细胞:克服胶质母细胞瘤 CAR T 细胞治疗挑战的一种选择。
Front Immunol. 2021 Mar 3;12:640082. doi: 10.3389/fimmu.2021.640082. eCollection 2021.
10
Sarcodon imbricatus polysaccharides improve mouse hematopoietic function after cyclophosphamide-induced damage via G-CSF mediated JAK2/STAT3 pathway.杂色云芝多糖通过 G-CSF 介导的 JAK2/STAT3 通路改善环磷酰胺诱导损伤后小鼠的造血功能。
Cell Death Dis. 2018 May 21;9(6):578. doi: 10.1038/s41419-018-0634-6.
丝裂原活化蛋白激酶抑制剂对共刺激的T细胞细胞因子产生和小鼠气道嗜酸性粒细胞增多具有不同的调节作用。
Respir Res. 2005 Apr 15;6(1):36. doi: 10.1186/1465-9921-6-36.
4
Outcomes after transplantation of cord blood or bone marrow from unrelated donors in adults with leukemia.成年白血病患者接受无关供者脐血或骨髓移植后的结局。
N Engl J Med. 2004 Nov 25;351(22):2265-75. doi: 10.1056/NEJMoa041276.
5
The two NF-kappaB activation pathways and their role in innate and adaptive immunity.两条核因子-κB激活途径及其在固有免疫和适应性免疫中的作用。
Trends Immunol. 2004 Jun;25(6):280-8. doi: 10.1016/j.it.2004.03.008.
6
Current concepts in allogeneic hematopoietic stem cell transplantation.
Anticancer Res. 2003 Nov-Dec;23(6D):5055-67.
7
Regulation of IL4 gene expression by T cells and therapeutic perspectives.
Nat Rev Immunol. 2003 Jul;3(7):534-43. doi: 10.1038/nri1128.
8
Regulation of Th2 cytokine gene transcription.
Chem Immunol. 2000;78:16-29. doi: 10.1159/000058813.
9
Molecular mechanisms regulating Th1 immune responses.调节Th1免疫反应的分子机制。
Annu Rev Immunol. 2003;21:713-58. doi: 10.1146/annurev.immunol.21.120601.140942. Epub 2001 Dec 19.
10
Umbilical cord blood transplantation: current state of the art.脐带血移植:当前技术水平
Curr Opin Oncol. 2002 Mar;14(2):160-4. doi: 10.1097/00001622-200203000-00004.