Suppr超能文献

一种病毒体疟疾肽疫苗在1a期临床试验中引发了持久的子孢子抑制性抗体反应。

A virosomal malaria peptide vaccine elicits a long-lasting sporozoite-inhibitory antibody response in a phase 1a clinical trial.

作者信息

Okitsu Shinji L, Silvie Olivier, Westerfeld Nicole, Curcic Marija, Kammer Andreas R, Mueller Markus S, Sauerwein Robert W, Robinson John A, Genton Blaise, Mazier Dominique, Zurbriggen Rinaldo, Pluschke Gerd

机构信息

Molecular Immunology, Swiss Tropical Institute, Basel, Switzerland.

出版信息

PLoS One. 2007 Dec 5;2(12):e1278. doi: 10.1371/journal.pone.0001278.

Abstract

OBJECTIVES

Peptides delivered on the surface of influenza virosomes have been shown to induce solid humoral immune responses in experimental animals. High titers of peptide-specific antibodies were also induced in a phase 1a clinical trial in volunteers immunized with virosomal formulations of two peptides derived from the circumsporozoite protein (CSP) and the apical membrane antigen 1 (AMA-1) of Plasmodium falciparum. The main objective of this study was to perform a detailed immunological and functional analysis of the CSP-specific antibodies elicited in this phase 1a trial.

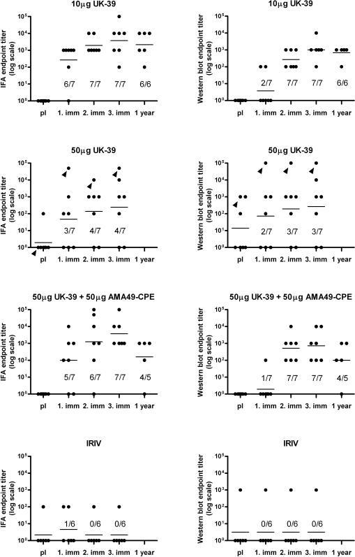
METHODOLOGY/PRINCIPAL FINDINGS: 46 healthy malaria-naïve adults were immunized with virosomal formulations of two peptide-phosphatidylethanolamine conjugates, one derived from the NANP repeat region of P. falciparum CSP (designated UK-39) the other from P. falciparum AMA-1 (designated AMA49-C1). The two antigens were delivered in two different concentrations, alone and in combination. One group was immunized with empty virosomes as control. In this report we show a detailed analysis of the antibody response against UK-39. Three vaccinations with a 10 microg dose of UK-39 induced high titers of sporozoite-binding antibodies in all volunteers. This IgG response was affinity maturated and long-lived. Co-administration of UK-39 and AMA49-C1 loaded virosomes did not interfere with the immunogenicity of UK-39. Purified total IgG from UK-39 immunized volunteers inhibited sporozoite migration and invasion of hepatocytes in vitro. Sporozoite inhibition closely correlated with titers measured in immunogenicity assays.

CONCLUSIONS

Virosomal delivery of a short, conformationally constrained peptide derived from P. falciparum CSP induced a long-lived parasite-inhibitory antibody response in humans. Combination with a second virosomally-formulated peptide derived from P. falciparum AMA-1 did not interfere with the immunogenicity of either peptide, demonstrating the potential of influenza virosomes as a versatile, human-compatible antigen delivery platform for the development of multivalent subunit vaccines.

TRIAL REGISTRATION

ClinicalTrials.gov NCT00400101.

摘要

目的

已证明流感病毒体表面递送的肽可在实验动物中诱导强烈的体液免疫反应。在一项1a期临床试验中,用源自恶性疟原虫环子孢子蛋白(CSP)和顶膜抗原1(AMA-1)的两种肽的病毒体制剂免疫志愿者,也诱导出了高滴度的肽特异性抗体。本研究的主要目的是对在该1a期试验中产生的CSP特异性抗体进行详细的免疫学和功能分析。

方法/主要发现:46名未感染疟疾的健康成年人用两种肽 - 磷脂酰乙醇胺缀合物的病毒体制剂进行免疫,一种源自恶性疟原虫CSP的NANP重复区域(命名为UK-39),另一种源自恶性疟原虫AMA-1(命名为AMA49-C1)。两种抗原以两种不同浓度单独或联合递送。一组用空病毒体作为对照进行免疫。在本报告中,我们展示了针对UK-39的抗体反应的详细分析。用10微克剂量的UK-39进行三次疫苗接种在所有志愿者中诱导出高滴度的子孢子结合抗体。这种IgG反应具有亲和力成熟且持久的特点。联合施用负载UK-39和AMA49-C1的病毒体并不干扰UK-39的免疫原性。从UK-39免疫志愿者中纯化的总IgG在体外抑制子孢子迁移和肝细胞侵袭。子孢子抑制与免疫原性测定中测得的滴度密切相关。

结论

恶性疟原虫CSP衍生的短的、构象受限肽的病毒体递送在人类中诱导了持久的寄生虫抑制抗体反应。与源自恶性疟原虫AMA-1的第二种病毒体制剂化肽联合使用并不干扰任何一种肽的免疫原性,证明了流感病毒体作为开发多价亚单位疫苗的通用、人体兼容抗原递送平台的潜力。

试验注册

ClinicalTrials.gov NCT00400101。

https://cdn.ncbi.nlm.nih.gov/pmc/blobs/74d0/2093993/c75992499824/pone.0001278.g001.jpg

文献检索

告别复杂PubMed语法,用中文像聊天一样搜索,搜遍4000万医学文献。AI智能推荐,让科研检索更轻松。

立即免费搜索

文件翻译

保留排版,准确专业,支持PDF/Word/PPT等文件格式,支持 12+语言互译。

免费翻译文档

深度研究

AI帮你快速写综述,25分钟生成高质量综述,智能提取关键信息,辅助科研写作。

立即免费体验