• 文献检索
  • 文档翻译
  • 深度研究
  • 学术资讯
  • Suppr Zotero 插件Zotero 插件
  • 邀请有礼
  • 套餐&价格
  • 历史记录
应用&插件
Suppr Zotero 插件Zotero 插件浏览器插件Mac 客户端Windows 客户端微信小程序
定价
高级版会员购买积分包购买API积分包
服务
文献检索文档翻译深度研究API 文档MCP 服务
关于我们
关于 Suppr公司介绍联系我们用户协议隐私条款
关注我们

Suppr 超能文献

核心技术专利:CN118964589B侵权必究
粤ICP备2023148730 号-1Suppr @ 2026

文献检索

告别复杂PubMed语法,用中文像聊天一样搜索,搜遍4000万医学文献。AI智能推荐,让科研检索更轻松。

立即免费搜索

文件翻译

保留排版,准确专业,支持PDF/Word/PPT等文件格式,支持 12+语言互译。

免费翻译文档

深度研究

AI帮你快速写综述,25分钟生成高质量综述,智能提取关键信息,辅助科研写作。

立即免费体验

冠状动脉搭桥术后吲哚菁绿的围手术期血浆消失率

Peri-operative plasma disappearance rate of indocyanine green after coronary artery bypass surgery.

作者信息

Sander Michael, Spies Claudia D, Foer Achim, Syn Doh-Yung, Grubitzsch Herko, Von Heymann Christian

机构信息

Department of Anesthesiology and Intensive Care Medicine, Campus Charité Mitte, Charité Universitätsmedizin Berlin, Berlin, Germany.

出版信息

Cardiovasc J Afr. 2007 Nov-Dec;18(6):375-9.

PMID:18092113
原文链接:https://pmc.ncbi.nlm.nih.gov/articles/PMC4170503/
Abstract

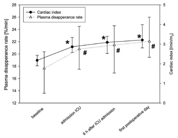
Splanchnic ischaemia and hepatic dysfunction are severe complications after coronary artery bypass grafting (CABG) and lead to increased morbidity and mortality. Non-invasive determination of the indocyanine green (ICG) plasma disappearance rate (PDR) offers an opportunity for the early diagnosis of hepato-splanchnic hypoperfusion. The aim of this study was to establish the postoperative time course of the ICG PDR in elective uncomplicated CABG surgery. After ethical approval and written informed consent, the data of 40 patients were analysed during this prospective study. Measurements of the ICG PDR and cardiac index (CI) in 40 patients undergoing elective CABG surgery were performed immediately after induction of anaesthesia, on admission to the ICU, six hours after admission to the ICU, and on the first postoperative day. Prior to surgery, baseline ICG PDR was 17.7 %/min (13.6-20.4) and baseline CI was 2.2 l/min/m(2) (1.9-2.4). All measurements after surgery showed a significantly higher PDR and cardiac index compared to the baseline measurements. The only patient with prolonged ICU treatment failed to show this increase in ICG PDR, although the CI did increase after surgery. We established normal values of ICG PDR after uncomplicated CABG surgery. The elevated ICG PDR observed in our patients was assumed to be an effect of an increased hepato-splanchnic blood flow due to an increase in the CI. Patients at risk of hepato-splanchnic hypoperfusion, displaying a missed increase or even a decrease in their ICG PDR after surgery might be at risk of hepatic hypoperfusion and in these selected patients the ICG PDR could serve as a tool to guide therapy or to select patients who might benefit from more invasive devices to monitor hepatosplanchnic perfusion and function.

摘要

内脏缺血和肝功能障碍是冠状动脉旁路移植术(CABG)后的严重并发症,会导致发病率和死亡率增加。非侵入性测定吲哚菁绿(ICG)血浆消失率(PDR)为肝内脏低灌注的早期诊断提供了机会。本研究的目的是确定择期无并发症CABG手术中ICG PDR的术后时间进程。在获得伦理批准和书面知情同意后,对40例患者的数据进行了这项前瞻性研究分析。对40例行择期CABG手术的患者,在麻醉诱导后、入住重症监护病房(ICU)时、入住ICU 6小时后以及术后第一天,分别测量ICG PDR和心脏指数(CI)。术前,基线ICG PDR为17.7%/分钟(13.6 - 20.4),基线CI为2.2升/分钟/平方米(1.9 - 2.4)。术后所有测量结果显示,与基线测量相比,PDR和心脏指数均显著升高。唯一一名接受延长ICU治疗的患者未显示ICG PDR的这种升高,尽管术后CI确实有所增加。我们确定了无并发症CABG手术后ICG PDR的正常值。我们的患者中观察到的ICG PDR升高被认为是由于CI增加导致肝内脏血流增加的结果。有肝内脏低灌注风险的患者,术后ICG PDR未出现升高甚至下降,可能存在肝低灌注风险,在这些特定患者中,ICG PDR可作为指导治疗或选择可能从更具侵入性的设备监测肝内脏灌注和功能中获益的患者的工具。

https://cdn.ncbi.nlm.nih.gov/pmc/blobs/afb5/4170503/75b628417e1f/cvja-18-377-g002.jpg
https://cdn.ncbi.nlm.nih.gov/pmc/blobs/afb5/4170503/264e110dc9f5/cvja-18-376-g001.jpg
https://cdn.ncbi.nlm.nih.gov/pmc/blobs/afb5/4170503/75b628417e1f/cvja-18-377-g002.jpg
https://cdn.ncbi.nlm.nih.gov/pmc/blobs/afb5/4170503/264e110dc9f5/cvja-18-376-g001.jpg
https://cdn.ncbi.nlm.nih.gov/pmc/blobs/afb5/4170503/75b628417e1f/cvja-18-377-g002.jpg

相似文献

1
Peri-operative plasma disappearance rate of indocyanine green after coronary artery bypass surgery.冠状动脉搭桥术后吲哚菁绿的围手术期血浆消失率
Cardiovasc J Afr. 2007 Nov-Dec;18(6):375-9.
2
Perioperative indocyanine green clearance is predictive for prolonged intensive care unit stay after coronary artery bypass grafting--an observational study.围手术期吲哚菁绿清除率可预测冠状动脉旁路移植术后 ICU 入住时间延长——一项观察性研究。
Crit Care. 2009;13(5):R149. doi: 10.1186/cc8045. Epub 2009 Sep 14.
3
[Indocyanine green plasma disappearance rate. Marker of partial hepato-splanchnic ischemia].[吲哚菁绿血浆消失率。部分肝脾缺血的标志物]
Anaesthesist. 2007 Apr;56(4):339-44. doi: 10.1007/s00101-007-1146-4.
4
Positive end-expiratory pressure does not affect indocyanine green plasma disappearance rate or gastric mucosal perfusion after cardiac surgery.呼气末正压不影响心脏手术后吲哚菁绿血浆消失率或胃黏膜灌注。
Eur J Anaesthesiol. 2007 Feb;24(2):141-7. doi: 10.1017/S026502150600130X. Epub 2006 Aug 29.
5
Increasing cardiac output by fluid loading: effects on indocyanine green plasma disappearance rate and splanchnic microcirculation.通过液体负荷增加心输出量:对吲哚菁绿血浆消失率和内脏微循环的影响。
Acta Anaesthesiol Scand. 2005 Oct;49(9):1280-6. doi: 10.1111/j.1399-6576.2005.00834.x.
6
Indocyanine green clearance as an outcome prediction tool in cardiac surgery: a prospective study.吲哚菁绿清除率作为心脏手术的预后预测工具:一项前瞻性研究。
J Crit Care. 2014 Apr;29(2):224-9. doi: 10.1016/j.jcrc.2013.10.023. Epub 2013 Oct 30.
7
Use of noninvasive measurement of the indocyanine green plasma disappearance rate in patients with septic shock.应用吲哚菁绿血浆清除率的无创测量方法评估感染性休克患者。
Rev Esp Quimioter. 2024 Oct;37(5):401-408. doi: 10.37201/req/029.2024. Epub 2024 Jun 28.
8
Liver function assessment by indocyanine green plasma disappearance rate in patients with intra-abdominal hypertension after "non-hepatic" abdominal surgery.腹腔内高压非肝脏腹部手术后患者吲哚菁绿血浆清除率评估肝功能。
Curr Med Res Opin. 2018 Oct;34(10):1741-1746. doi: 10.1080/03007995.2018.1435522. Epub 2018 Feb 28.
9
Increasing cardiac output by epinephrine after cardiac surgery: effects on indocyanine green plasma disappearance rate and splanchnic microcirculation.心脏手术后使用肾上腺素增加心输出量:对吲哚菁绿血浆消失率和内脏微循环的影响。
J Cardiothorac Vasc Anesth. 2007 Jun;21(3):351-6. doi: 10.1053/j.jvca.2006.02.031. Epub 2006 Jun 5.
10
Pulse dye densitometry and indocyanine green plasma disappearance in ASA physical status I-II patients.ASA 体格 I-II 级患者的脉冲染料密度测定和吲哚菁绿血浆清除率。
Anesth Analg. 2010 Feb 1;110(2):466-72. doi: 10.1213/ANE.0b013e3181c92b09.

引用本文的文献

1
Perioperative indocyanine green clearance is predictive for prolonged intensive care unit stay after coronary artery bypass grafting--an observational study.围手术期吲哚菁绿清除率可预测冠状动脉旁路移植术后 ICU 入住时间延长——一项观察性研究。
Crit Care. 2009;13(5):R149. doi: 10.1186/cc8045. Epub 2009 Sep 14.

本文引用的文献

1
Small-dose epoprostenol decreases systemic oxygen consumption and splanchnic oxygen extraction during normothermic cardiopulmonary bypass.小剂量依前列醇可降低常温体外循环期间的全身氧耗量及内脏氧摄取率。
Anesth Analg. 2006 Jan;102(1):17-24. doi: 10.1213/01.ane.0000184818.32635.fd.
2
Comparison of invasive and noninvasive measurement of plasma disappearance rate of indocyanine green in patients undergoing liver transplantation: a prospective investigator-blinded study.肝移植患者中吲哚菁绿血浆消失率的有创与无创测量比较:一项前瞻性研究者盲法研究
Liver Transpl. 2004 Aug;10(8):1060-4. doi: 10.1002/lt.20205.
3
Liver blood flow during cardiac surgery.
心脏手术期间的肝脏血流。
Perfusion. 2004 May;19(3):153-6. doi: 10.1191/0267659104pf735oa.
4
Splanchnic oxygen transport, hepatic function and gastrointestinal barrier after normothermic cardiopulmonary bypass.常温体外循环后的内脏氧输送、肝功能及胃肠道屏障
Acta Anaesthesiol Scand. 2004 Jul;48(6):697-703. doi: 10.1111/j.1399-6576.2004.00392.x.
5
Adverse gastrointestinal complications after cardiopulmonary bypass: can outcome be predicted from preoperative risk factors?体外循环后不良胃肠道并发症:能否根据术前危险因素预测结局?
Anesth Analg. 2004 Jun;98(6):1610-1617. doi: 10.1213/01.ANE.0000113556.40345.2E.
6
Lactic acidosis after cardiac surgery is associated with adverse outcome.心脏手术后的乳酸酸中毒与不良预后相关。
Heart Surg Forum. 2004 Apr 1;7(2):E155-9. doi: 10.1532/HSF98.20041002.
7
[The effect of dopexamine and iloprost on plasma disappearance rate of indocyanine green in patients in septic shock].[多巴胺丁胺和伊洛前列素对感染性休克患者吲哚菁绿血浆消失率的影响]
Anaesthesist. 2003 Nov;52(11):1014-9. doi: 10.1007/s00101-003-0580-1.
8
Gastric mucosal acidosis and cytokine release in patients with septic shock.感染性休克患者的胃黏膜酸中毒与细胞因子释放
Crit Care Med. 2003 Aug;31(8):2137-43. doi: 10.1097/01.CCM.0000079600.49048.28.
9
Influence of prolonged cardiopulmonary bypass times on splanchnic perfusion and markers of splanchnic organ function.长时间体外循环时间对内脏灌注及内脏器官功能标志物的影响。
Ann Thorac Surg. 2003 May;75(5):1558-64. doi: 10.1016/s0003-4975(02)04903-2.
10
Prognostic value of the indocyanine green plasma disappearance rate in critically ill patients.吲哚菁绿血浆消失率在危重症患者中的预后价值
Chest. 2002 Nov;122(5):1715-20. doi: 10.1378/chest.122.5.1715.