Suppr超能文献

时序基因表达谱分析揭示CEBPD是鞘脂激活蛋白原缺陷小鼠脑部疾病的候选调控因子。

Temporal gene expression profiling reveals CEBPD as a candidate regulator of brain disease in prosaposin deficient mice.

作者信息

Sun Ying, Jia Li, Williams Michael T, Zamzow Matt, Ran Huimin, Quinn Brian, Aronow Bruce J, Vorhees Charles V, Witte David P, Grabowski Gregory A

机构信息

Division of Human Genetics, Cincinnati Children's Hospital Medical Center, 3333 Burnet Avenue, MLC 4006, Cincinnati, OH, USA.

出版信息

BMC Neurosci. 2008 Aug 1;9:76. doi: 10.1186/1471-2202-9-76.

Abstract

BACKGROUND

Prosaposin encodes, in tandem, four small acidic activator proteins (saposins) with specificities for glycosphingolipid (GSL) hydrolases in lysosomes. Extensive GSL storage occurs in various central nervous system regions in mammalian prosaposin deficiencies.

RESULTS

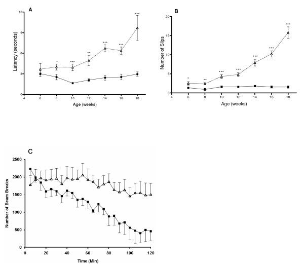
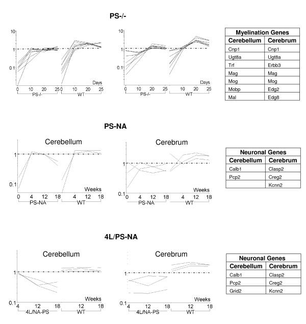
Our hypomorphic prosaposin deficient mouse, PS-NA, exhibited 45% WT levels of brain saposins and showed neuropathology that included neuronal GSL storage and Purkinje cell loss. Impairment of neuronal function was observed as early as 6 wks as demonstrated by the narrow bridges tests. Temporal transcriptome microarray analyses of brain tissues were conducted with mRNA from three prosaposin deficient mouse models: PS-NA, prosaposin null (PS-/-) and a V394L/V394L glucocerebrosidase mutation combined with PS-NA (4L/PS-NA). Gene expression alterations in cerebrum and cerebellum were detectable at birth preceding the neuronal deficits. Differentially expressed genes encompassed a broad spectrum of cellular functions. The number of down-regulated genes was constant, but up-regulated gene numbers increased with age. CCAAT/enhancer-binding protein delta (CEBPD) was the only up-regulated transcription factor in these two brain regions of all three models. Network analyses revealed that CEBPD has functional relationships with genes in transcription, pro-inflammation, cell death, binding, myelin and transport.

CONCLUSION

These results show that: 1) Regionally specific gene expression abnormalities precede the brain histological and neuronal function changes, 2) Temporal gene expression profiles provide insights into the molecular mechanism during the GSL storage disease course, and 3) CEBPD is a candidate regulator of brain disease in prosaposin deficiency to participate in modulating disease acceleration or progression.

摘要

背景

前体蛋白原串联编码四种小的酸性激活蛋白(鞘脂激活蛋白),它们对溶酶体中的糖鞘脂(GSL)水解酶具有特异性。在哺乳动物前体蛋白原缺乏症中,各种中枢神经系统区域会出现广泛的GSL蓄积。

结果

我们的低表达前体蛋白原缺陷小鼠PS-NA,脑内鞘脂激活蛋白水平为野生型(WT)的45%,并表现出神经病理学特征,包括神经元GSL蓄积和浦肯野细胞丢失。早在6周龄时,通过窄桥试验就观察到了神经元功能受损。对来自三种前体蛋白原缺陷小鼠模型(PS-NA、前体蛋白原基因敲除小鼠(PS-/-)以及V394L/V394L葡萄糖脑苷脂酶突变与PS-NA结合的小鼠(4L/PS-NA))的脑组织进行了时间转录组微阵列分析。在神经元缺陷出现之前,出生时即可检测到大脑和小脑的基因表达改变。差异表达基因涵盖了广泛的细胞功能。下调基因的数量保持不变,但上调基因的数量随年龄增加。CCAAT/增强子结合蛋白δ(CEBPD)是所有三种模型的这两个脑区中唯一上调的转录因子。网络分析表明,CEBPD与转录、促炎、细胞死亡、结合、髓鞘形成和运输等方面的基因存在功能关系。

结论

这些结果表明:1)区域特异性基因表达异常先于脑组织结构和神经元功能变化;2)时间基因表达谱为GSL蓄积病病程中的分子机制提供了见解;3)CEBPD是前体蛋白原缺乏症中脑疾病的候选调节因子,参与调节疾病的加速或进展。

https://cdn.ncbi.nlm.nih.gov/pmc/blobs/e12b/2518924/8d1af7bbe692/1471-2202-9-76-1.jpg

文献检索

告别复杂PubMed语法,用中文像聊天一样搜索,搜遍4000万医学文献。AI智能推荐,让科研检索更轻松。

立即免费搜索

文件翻译

保留排版,准确专业,支持PDF/Word/PPT等文件格式,支持 12+语言互译。

免费翻译文档

深度研究

AI帮你快速写综述,25分钟生成高质量综述,智能提取关键信息,辅助科研写作。

立即免费体验