Suppr超能文献

在CYP2C18和19人源化小鼠模型中观察到临床病理学和组织病理学方面的变化很少。

Few alterations in clinical pathology and histopathology observed in a CYP2C18&19 humanized mice model.

作者信息

Löfgren Susanne, Ekman Stina, Terelius Ylva, Fransson-Steen Ronny

机构信息

Safety Assessment Sweden, AstraZeneca R&D Södertälje, S-151 85 Södertälje, Sweden.

出版信息

Acta Vet Scand. 2008 Nov 27;50(1):47. doi: 10.1186/1751-0147-50-47.

Abstract

BACKGROUND

This study was performed to characterize a gene-addition transgenic mouse containing a BAC (bacterial artificial chromosome) clone spanning the human CYP2C18&19 genes (tg-CYP2C18&19).

METHODS

Hemizygous tg-CYP2C18&19, 11 week old mice were compared with wild-type littermates to obtain information regarding clinical status, clinical pathology and anatomical pathology. After one week of clinical observations, blood samples were collected, organs weighed, and tissues collected for histopathology.

RESULTS

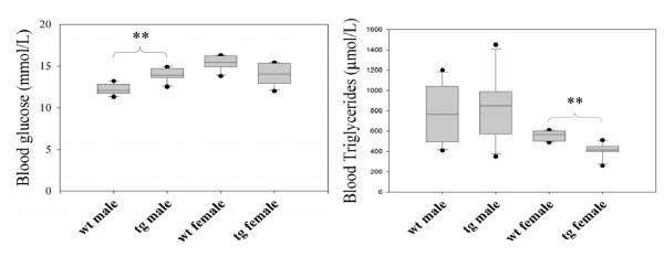
In males, the tissue weights were lower in tg-CYP2C18&19 than in wild-type mice for brain (p < or = 0.05), adrenal glands (p < or = 0.05) and brown fat deposits (p < or = 0.001) while the heart weight was higher (p < or = 0.001). In female tg-CYP2C18&19, the tissue weights were lower for brain (p < or = 0.001) and spleen (p < or = 0.001) compared to wild-type females. Male tg-CYP2C18&19 had increased blood glucose levels (p < or = 0.01) while females had decreased blood triglyceride levels (p < or = 0.01).

CONCLUSION

Despite the observed alterations, tg-CYP2C18&19 did not show any macroscopic or microscopic pathology at the examined age. Hence, these hemizygous transgenic mice were considered to be viable and healthy animals.

摘要

背景

本研究旨在对一种基因添加型转基因小鼠进行特征描述,该小鼠含有跨越人CYP2C18和19基因的细菌人工染色体(BAC)克隆(tg-CYP2C18&19)。

方法

将11周龄的半合子tg-CYP2C18&19小鼠与其野生型同窝小鼠进行比较,以获取有关临床状况、临床病理学和解剖病理学的信息。经过一周的临床观察后,采集血样、称量器官重量,并收集组织进行组织病理学检查。

结果

在雄性小鼠中,tg-CYP2C18&19小鼠的脑(p≤0.05)、肾上腺(p≤0.05)和棕色脂肪沉积(p≤0.001)组织重量低于野生型小鼠,而心脏重量更高(p≤0.001)。在雌性tg-CYP2C18&19小鼠中,与野生型雌性小鼠相比,脑(p≤0.001)和脾脏(p≤0.001)的组织重量较低。雄性tg-CYP2C18&19小鼠的血糖水平升高(p≤0.01),而雌性小鼠的血甘油三酯水平降低(p≤0.01)。

结论

尽管观察到了这些变化,但tg-CYP2C18&19在检查的年龄时未显示任何宏观或微观病理学改变。因此,这些半合子转基因小鼠被认为是有活力且健康的动物。

https://cdn.ncbi.nlm.nih.gov/pmc/blobs/277e/2607276/730fce15b5b0/1751-0147-50-47-1.jpg

文献AI研究员

20分钟写一篇综述,助力文献阅读效率提升50倍。

立即体验

用中文搜PubMed

大模型驱动的PubMed中文搜索引擎

马上搜索

文档翻译

学术文献翻译模型,支持多种主流文档格式。

立即体验