Suppr超能文献

杜氏肌营养不良症竖脊肌的磁共振成像:对脊柱侧弯畸形的影响

Magnetic resonance imaging of the erector spinae muscles in Duchenne muscular dystrophy: implication for scoliotic deformities.

作者信息

Zoabli Gnahoua, Mathieu Pierre A, Aubin Carl-Eric

机构信息

Research Centre, Sainte-Justine University Hospital Centre, University of Montreal, 3175, Chemin de la Côte-Sainte-Catherine, Montréal, Québec, H3T 1C5, Canada.

出版信息

Scoliosis. 2008 Dec 29;3:21. doi: 10.1186/1748-7161-3-21.

Abstract

BACKGROUND

In Duchenne muscular dystrophy (DMD), the muscular degeneration often leads to the development of scoliosis. Our objective was to investigate how anatomical changes in back muscles can lead to scoliosis. Muscular volume and the level of fat infiltration in those muscles were thus evaluated, in non-scoliotic, pre-scoliotic and scoliotic patients. The overlying skin thickness over the apex level of scoliotic deformations was also measured to facilitate the interpretation of electromyographic signals when recorded on the skin surface.

METHODS

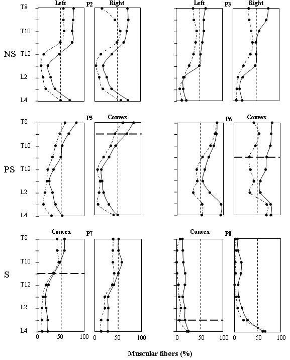
In 8 DMD patients and two healthy controls with no known muscular deficiencies, magnetic resonance imaging (MRI) was used to measure continuously at 3 mm intervals the distribution of the erector spinae (ES) muscle in the T8-L4 region as well as fat infiltration in the muscle and overlying skin thickness: four patients were non-scoliotic (NS), two were pre-scoliotic (PS, Cobb angle < 15 degrees ) and two were scoliotic (S, Cobb angle >/= 15 degrees ). For each subject, 63 images 3 mm thick of the ES muscle were obtained in the T8-L4 region on both sides of the spine. The pixel dimension was 0.39 x 0.39 mm. With a commercial software, on each 12 bits image, the ES contour on the left and on the right sides of the spine were manually determined as well as those of its constituents i.e., the iliocostalis (IL), the longissimus (LO) and the spinalis (SP) muscles. Following this segmentation, the surfaces within the contours were determined, the muscles volume were obtained, the amount of fat infiltration inside each muscle was evaluated and the overlying skin thickness measured.

FINDINGS

The volume of the ES muscle of our S and PS patients was found smaller on the convex side relative to the concave one by 5.3 +/- 0.7% and 2.8 +/- 0.2% respectively. For the 4 NS patients, the volume difference of this muscle between right and left sides was 2.1 +/- 1.5% and for the 2 controls, it was 1.4 +/- 1.2%. Fat infiltration for the S and the PS patients was larger on the convex side than on the concave one (4.4 +/- 1.6% and 4.5 +/- 0.7% respectively) and the difference was more important near the apex. Infiltration was more important in the lateral IL muscle than in the medial SP and it was always larger near L2 than at any other spinal level. Fat infiltration was much more important in the ES for the DMD patients (49.9% +/- 1.6%) than for the two controls (2.6 +/- 0.8%). As for the overlying skin thickness measured near the deformity of the patients, it was larger on the concave than on the convex side: 14.8 +/- 6.1 vs 13.5 +/- 5.7 mm for the S and 10.3 +/- 6.3 vs 9.8 +/- 5.6 mm for the PS.

INTERPRETATION

In DMD patients, our results indicate that a larger replacement of muscles fibers by fat infiltration on one side of the spine is a factor that can lead to the development of scoliosis. Efforts to slow such an infiltration on the most affected side of the spine could thus be beneficial to those patients by delaying the apparition of the scoliotic deformation. In addition to anatomical considerations, results obtained from the same patients but in experiments dealing with electromyography recordings, point to differences in the muscular contraction mechanisms and/or of the neural input to back muscles. This is similar to the adolescent idiopathic scoliosis (AIS) where a role of the nervous system in the development of the deformation has also been suggested.

摘要

背景

在杜兴氏肌营养不良症(DMD)中,肌肉变性常导致脊柱侧弯的发展。我们的目的是研究背部肌肉的解剖学变化如何导致脊柱侧弯。因此,对非脊柱侧弯、脊柱侧弯前期和脊柱侧弯患者的肌肉体积以及这些肌肉中的脂肪浸润水平进行了评估。还测量了脊柱侧弯畸形顶点水平上方的皮肤厚度,以便在皮肤表面记录肌电图信号时便于解读。

方法

对8例DMD患者和2例无已知肌肉缺陷的健康对照者,使用磁共振成像(MRI)以3mm的间隔连续测量胸8至腰4区域竖脊肌(ES)的分布、肌肉中的脂肪浸润以及上方皮肤厚度:4例患者为非脊柱侧弯(NS),2例为脊柱侧弯前期(PS,Cobb角<15度),2例为脊柱侧弯(S,Cobb角≥15度)。对于每个受试者,在脊柱两侧的胸8至腰4区域获得63张厚度为3mm的ES肌肉图像。像素尺寸为0.39×0.39mm。使用商业软件,在每张12位图像上,手动确定脊柱左侧和右侧的ES轮廓及其组成部分即髂肋肌(IL)、最长肌(LO)和棘肌(SP)的轮廓。在此分割之后,确定轮廓内的表面积,获得肌肉体积,评估每块肌肉内的脂肪浸润量并测量上方皮肤厚度。

结果

我们的S组和PS组患者的ES肌肉体积在凸侧相对于凹侧分别减小了5.3±0.7%和2.8±0.2%。对于4例NS患者,该肌肉左右两侧的体积差异为2.1±1.5%,对于2例对照者,差异为1.4±1.2%。S组和PS组患者的脂肪浸润在凸侧比凹侧更大(分别为4.4±1.6%和4.5±0.7%),且在顶点附近差异更明显。外侧IL肌肉的浸润比内侧SP肌肉更明显,且在L2附近总是比其他任何脊柱水平更大。DMD患者ES中的脂肪浸润比2例对照者(2.6±0.8%)大得多(49.9%±1.6%)。至于在患者畸形附近测量的上方皮肤厚度,凹侧比凸侧更大:S组为14.8±6.1对13.5±5.7mm,PS组为10.3±6.3对9.8±5.6mm。

解读

在DMD患者中,我们的结果表明脊柱一侧肌肉纤维被脂肪浸润大量替代是导致脊柱侧弯发展的一个因素。因此,努力减缓脊柱受影响最严重一侧的这种浸润可能对这些患者有益,可延缓脊柱侧弯畸形的出现。除了解剖学因素外,从同一患者但在肌电图记录实验中获得的结果表明,背部肌肉的收缩机制和/或神经输入存在差异。这与青少年特发性脊柱侧弯(AIS)类似,在AIS中也有人提出神经系统在畸形发展中起作用。

https://cdn.ncbi.nlm.nih.gov/pmc/blobs/07d0/2642764/0cfc8e772848/1748-7161-3-21-1.jpg

相似文献

2
Back muscles biometry in adolescent idiopathic scoliosis.
Spine J. 2007 May-Jun;7(3):338-44. doi: 10.1016/j.spinee.2006.04.001. Epub 2006 Oct 13.
3
Magnetic Resonance Imaging-Based Morphological Change of Paraspinal Muscles in Girls With Adolescent Idiopathic Scoliosis.
Spine (Phila Pa 1976). 2019 Oct 1;44(19):1356-1363. doi: 10.1097/BRS.0000000000003078.
4
Is There Asymmetry Between the Concave and Convex Pedicles in Adolescent Idiopathic Scoliosis? A CT Investigation.
Clin Orthop Relat Res. 2017 Mar;475(3):884-893. doi: 10.1007/s11999-016-5188-2. Epub 2016 Nov 29.
5
Paraspinal muscle ladybird homeobox 1 (LBX1) in adolescent idiopathic scoliosis: a cross-sectional study.
Spine J. 2019 Dec;19(12):1911-1916. doi: 10.1016/j.spinee.2019.06.014. Epub 2019 Jun 14.
9
The influence of 3D curve severity on paraspinal muscle fatty infiltration in patients with adolescent idiopathic scoliosis.
Spine Deform. 2021 Jul;9(4):987-995. doi: 10.1007/s43390-021-00318-2. Epub 2021 Mar 9.

引用本文的文献

1
Dystrophinopathy in the paravertebral muscle of adolescent idiopathic scoliosis: a prospective case-control study in China.
Asian Spine J. 2025 Feb;19(1):64-73. doi: 10.31616/asj.2024.0299. Epub 2025 Feb 4.
2
User Perspectives and Psychophysiological Manifestations of Fatigue with Trunk Orthosis for Dystrophinopathy Patients.
Bioengineering (Basel). 2024 Aug 1;11(8):780. doi: 10.3390/bioengineering11080780.
3
[Pathologic features of paraspinal muscle biopsies in patients with adolescent idiopathic scoliosis].
Beijing Da Xue Xue Bao Yi Xue Ban. 2023 Apr 18;55(2):283-291. doi: 10.19723/j.issn.1671-167X.2023.02.012.
4
Retroform Cervical Dystonia: Target Muscle Selection and Efficacy of Botulinum Toxin Injection.
Front Neurol. 2022 Jul 26;13:952456. doi: 10.3389/fneur.2022.952456. eCollection 2022.
5
Patients With Becker Muscular Dystrophy Have Severe Paraspinal Muscle Involvement.
Front Neurol. 2021 May 21;12:613483. doi: 10.3389/fneur.2021.613483. eCollection 2021.
6
Using MRI to quantify skeletal muscle pathology in Duchenne muscular dystrophy: A systematic mapping review.
Muscle Nerve. 2021 Jul;64(1):8-22. doi: 10.1002/mus.27133. Epub 2021 Jan 8.
7
Muscle Injury Associated Elevated Oxidative Stress and Abnormal Myogenesis in Patients with Idiopathic Scoliosis.
Int J Biol Sci. 2019 Sep 7;15(12):2584-2595. doi: 10.7150/ijbs.33340. eCollection 2019.
8
Simplified Triceps Surae Muscle Volume Assessment in Older Adults.
Front Physiol. 2019 Oct 10;10:1299. doi: 10.3389/fphys.2019.01299. eCollection 2019.
10
Chronic Paraspinal Muscle Injury Model in Rat.
J Korean Neurosurg Soc. 2016 Sep;59(5):430-6. doi: 10.3340/jkns.2016.59.5.430. Epub 2016 Sep 8.

本文引用的文献

1
Deflazacort use in Duchenne muscular dystrophy: an 8-year follow-up.
Pediatr Neurol. 2008 Mar;38(3):200-6. doi: 10.1016/j.pediatrneurol.2007.11.001.
2
Dystrophin levels as low as 30% are sufficient to avoid muscular dystrophy in the human.
Neuromuscul Disord. 2007 Dec;17(11-12):913-8. doi: 10.1016/j.nmd.2007.07.005. Epub 2007 Sep 7.
3
Back muscles biometry in adolescent idiopathic scoliosis.
Spine J. 2007 May-Jun;7(3):338-44. doi: 10.1016/j.spinee.2006.04.001. Epub 2006 Oct 13.
4
Sensitive ultrasonic detection of dystrophic skeletal muscle in patients with duchenne muscular dystrophy using an entropy-based signal receiver.
Ultrasound Med Biol. 2007 Aug;33(8):1236-43. doi: 10.1016/j.ultrasmedbio.2007.02.007. Epub 2007 Apr 30.
5
Therapeutic strategies for Duchenne and Becker dystrophies.
Int Rev Cytol. 2004;240:1-30. doi: 10.1016/S0074-7696(04)40001-1.
6
Compositional analysis of muscle in boys with Duchenne muscular dystrophy using MR imaging.
Skeletal Radiol. 2005 Mar;34(3):140-8. doi: 10.1007/s00256-004-0825-3. Epub 2004 Oct 22.
8
Magnetic resonance imaging in quantitative analysis of rotator cuff muscle volume.
Clin Orthop Relat Res. 2003 Oct(415):104-10. doi: 10.1097/01.blo.0000092969.12414.e1.
9
The accuracy of volume estimates using ultrasound muscle thickness measurements in different muscle groups.
Eur J Appl Physiol. 2004 Mar;91(2-3):264-72. doi: 10.1007/s00421-003-0974-4. Epub 2003 Oct 21.
10
Electromyography of scoliotic patients treated with a brace.
J Orthop Res. 2003 Sep;21(5):931-6. doi: 10.1016/S0736-0266(03)00038-X.

文献AI研究员

20分钟写一篇综述,助力文献阅读效率提升50倍。

立即体验

用中文搜PubMed

大模型驱动的PubMed中文搜索引擎

马上搜索

文档翻译

学术文献翻译模型,支持多种主流文档格式。

立即体验