Xie Lisa H, Li Qigui, Zhang Jing, Weina Peter J
Department of Pharmacology, Division of Experimental Therapeutics, Walter Reed Army Institute of Research, Silver Spring, Maryland 20910-7500, USA.
Malar J. 2009 May 26;8:112. doi: 10.1186/1475-2875-8-112.
Dihydroartemisinin (DHA), a powerful anti-malarial drug, has been used as monotherapy and artemisinin-based combination therapy (ACT) for more than decades. So far, however, the tissue distribution and metabolic profile of DHA data are not available from animal and humans.
Pharmacokinetics, tissue distribution, mass balance, and elimination of [14C] DHA have been studieded in rats following a single intravenous administration. Protein binding was performed with rat and human plasma. Drug concentrations were obtained up to 192 hr from measurements of total radioactivity and drug concentration to determine the contribution by the parent and metabolites to the total dose of drug injected from whole blood, plasma, urine and faecal samples.
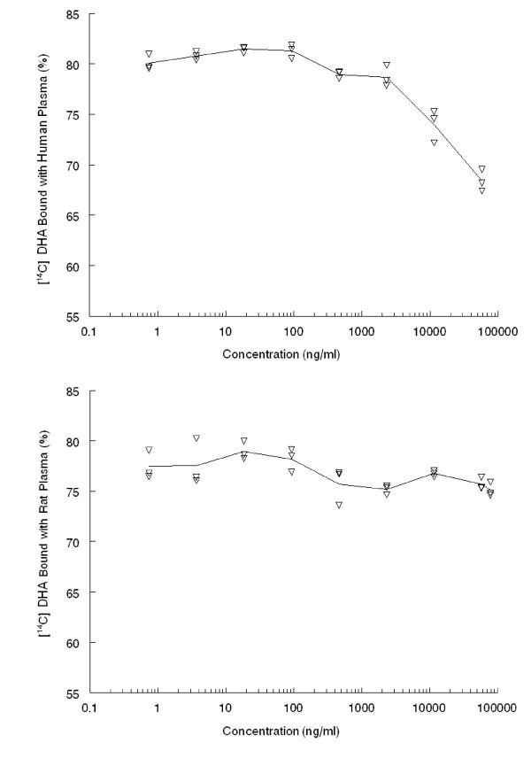
Drug was widely distributed after 1 hr and rapidly declined at 24 hr in all tissues except spleen until 96 hrs. Only 0.81% of the total radioactivity was detected in rat brain tissue. DHA revealed a high binding capacity with both rat and human plasma proteins (76-82%). The concentration of total radioactivity in the plasma fraction was less than 25% of that in blood total. Metabolism of DHA was observed with high excretion via bile into intestines and approximately 89-95% dose of all conjugations were accounted for in blood, urine and faeces. However, the majority of elimination of [14C] DHA was through urinary excretion (52% dose). The mean terminal half-lives of plasma and blood radioactivity (75.57-122.13 h) were significantly prolonged compared with that of unchanged DHA (1.03 h).
In rat brain, the total concentration of [14C] was 2-fold higher than that in plasma, indicating the radioactivity could easily penetrate the brain-blood barrier. Total radioactivity distributed in RBC was about three- to four-fold higher than that in plasma, suggesting that the powerful anti-malarial potency of DHA in the treatment of blood stage malaria may relate to the high RBC binding. Biliary excretion and multiple concentration peaks of DHA have been demonstrated with high urinary excretion due to a most likely drug re-absorption in the intestines (enterohepatic circulation). The long lasting metabolites of DHA (> 192 hr) in the rats may be also related to the enterohepatic circulation.
双氢青蒿素(DHA)是一种强效抗疟药物,已作为单一疗法和青蒿素联合疗法(ACT)使用了数十年。然而,迄今为止,尚未获得动物和人类中DHA的组织分布和代谢概况数据。
在大鼠单次静脉注射后,研究了[14C] DHA的药代动力学、组织分布、质量平衡和消除情况。用大鼠和人类血浆进行蛋白结合实验。通过测量总放射性和药物浓度,在长达192小时内获取药物浓度,以确定母体和代谢物对从全血、血浆、尿液和粪便样本中注射的总药物剂量的贡献。
给药1小时后药物广泛分布,除脾脏外,所有组织中的药物在24小时迅速下降,直至96小时。在大鼠脑组织中仅检测到总放射性的0.81%。DHA与大鼠和人类血浆蛋白均显示出高结合能力(76 - 82%)。血浆部分的总放射性浓度低于血液总量的25%。观察到DHA的代谢,通过胆汁大量排泄到肠道,所有结合物中约89 - 95%的剂量在血液、尿液和粪便中有所体现。然而,[14C] DHA的大部分消除是通过尿液排泄(52%剂量)。与未变化的DHA(1.03小时)相比,血浆和血液放射性的平均终末半衰期(75.57 - 122.13小时)显著延长。
在大鼠脑中,[14C]的总浓度比血浆中高2倍,表明放射性可轻易穿透血脑屏障。红细胞中分布的总放射性比血浆中高约三到四倍,这表明DHA在治疗血液期疟疾时强大的抗疟效力可能与高红细胞结合有关。已证明DHA的胆汁排泄和多个浓度峰值以及高尿液排泄,这很可能是由于药物在肠道中的重吸收(肠肝循环)。大鼠中DHA的长效代谢物(> 192小时)也可能与肠肝循环有关。