Suppr超能文献

经验很重要:雌性动物会用嗅觉选择有经验的雄性来提供亲代照顾。

Experience matters: females use smell to select experienced males for paternal care.

机构信息

Department of Biological Sciences, University of Hull, Hull, United Kingdom.

出版信息

PLoS One. 2009 Nov 4;4(11):e7672. doi: 10.1371/journal.pone.0007672.

Abstract

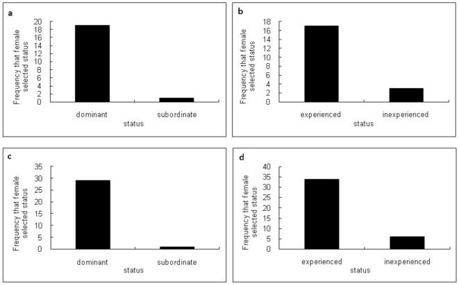
Mate choice and mating preferences often rely on the information content of signals exchanged between potential partners. In species where a female's reproduction is the terminal event in life it is to be expected that females choose high quality males and assess males using some honest indicator of male quality. The Nereidid polychaete, Neanthes acuminata, exhibits monogamous pairing and the release of eggs by females terminates her life and larval success relies entirely on a male's ability to provide paternal care. As such females should have developed reliable, condition-dependent criteria to choose mates to guarantee survival and care for offspring. We show that females actively chose males experienced in fatherhood over others. In the absence of experienced males dominance, as evident from male-male fights, is utilized for mate selection. The preference for experienced males is not affected by previous social interactions between the individuals. We show that the choice of the partner is based on chemical signals demonstrating a 'scent of experience' to females providing evidence for the role of chemical signals in sexual selection for paternal care adding to our understanding of the mechanisms regulating condition-dependent mate choice.

摘要

择偶和交配偏好通常依赖于潜在伴侣之间交换的信号的信息含量。在雌性繁殖是生命终结事件的物种中,可以预期雌性会选择高质量的雄性,并使用一些雄性质量的诚实指标来评估雄性。Nereidid 多毛类动物 Neanthes acuminata 表现出一夫一妻制配对,雌性释放卵子会终止她的生命,而幼虫的成功完全依赖于雄性提供亲代照顾的能力。因此,雌性应该已经发展出可靠的、依赖于条件的标准来选择伴侣,以保证生存和照顾后代。我们表明,雌性会主动选择有育儿经验的雄性,而不是其他雄性。在没有经验丰富的雄性存在的情况下,如雄性之间的战斗所表明的那样,优势被用于选择配偶。对有经验的雄性的偏好不受个体之间先前的社会互动的影响。我们表明,伴侣的选择是基于化学信号,向雌性展示了“经验的气味”,为化学信号在亲代关怀的性选择中的作用提供了证据,这增加了我们对调节条件依赖的配偶选择机制的理解。

https://cdn.ncbi.nlm.nih.gov/pmc/blobs/525f/2766004/ba223cade1b2/pone.0007672.g001.jpg

文献AI研究员

20分钟写一篇综述,助力文献阅读效率提升50倍。

立即体验

用中文搜PubMed

大模型驱动的PubMed中文搜索引擎

马上搜索

文档翻译

学术文献翻译模型,支持多种主流文档格式。

立即体验